mp-549728/DyZnPO/anharm

Harmonic properties

../../_images/fig_bandos_pr9100.png

(a) Phonon dispersion with participation ratio and DOS

../../_images/fig_thermo9100.png

(b) Thermodynamic properties

Grüneisen parameters

../../_images/fig_gru_all3625.png

(a) Grüneisen parameters

../../_images/fig_gruneisen3625.png

(b) Phonon dispersion with Grüneisen parameters

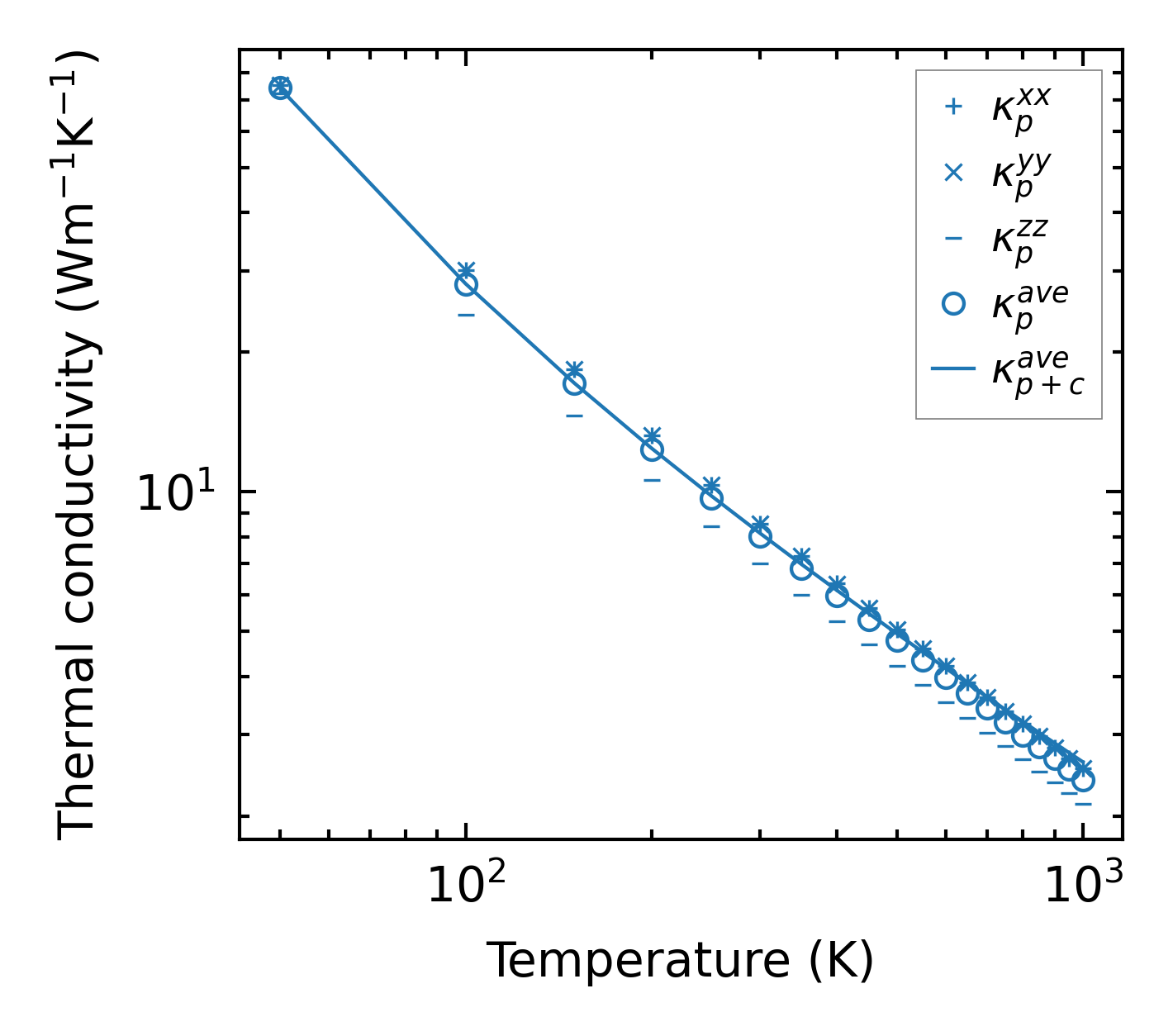
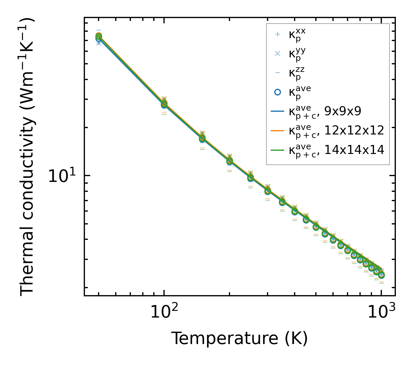
Thermal conductivity

3-phonon (LASSO) — q-mesh: 14x14x14, supercell: 2x2x1

../../_images/fig_kappa6846.png

(a) Temperature-dependent lattice thermal conductivity

../../_images/fig_kappa_vs_grain_size3673.png

(b) Peierls lattice thermal conductivity w.r.t grain size

Phonon lifetime and scattering rates

../../_images/fig_lifetime3591.png

(a) Phonon lifetime due to phonon-phonon scattering

../../_images/fig_scat_rates3590.png

(b) Phonon scattering rates

Cumulative and spectral thermal conductivity

../../_images/fig_cumu_frequency3591.png

(a) Spectral and cumulative thermal conductivity w.r.t frequency

../../_images/fig_cumu_mfp3590.png

(b) Spectral and cumulative thermal conductivity w.r.t MFP

Force constants

../../_images/fig_fc28862.png

(a) Force constants w.r.t atomic distance

Summary

../../_images/fig_kappa6847.png

(a) Temperature-dependent lattice thermal conductivity

../../_images/fig_times15914.png

(b) Computation time