mp-549720-2/NbI2O/anharm

Equation of state

../../_images/fig_bm4587.png

(a) Equation of state

Harmonic properties

../../_images/fig_bandos_pr9099.png

(a) Phonon dispersion with participation ratio and DOS

../../_images/fig_thermo9099.png

(b) Thermodynamic properties

Grüneisen parameters

../../_images/fig_gru_all3624.png

(a) Grüneisen parameters

../../_images/fig_gruneisen3624.png

(b) Phonon dispersion with Grüneisen parameters

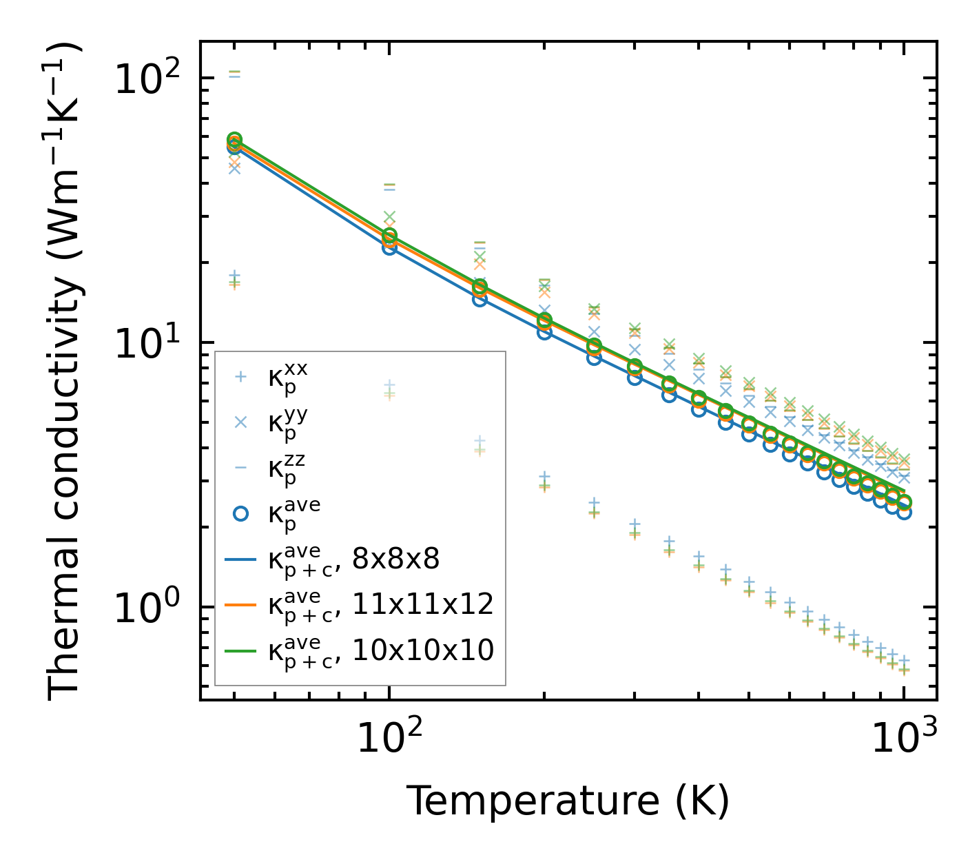
Thermal conductivity

3-phonon (LASSO) — q-mesh: 11x11x12, supercell: 1x4x2

../../_images/fig_kappa6844.png

(a) Temperature-dependent lattice thermal conductivity

../../_images/fig_kappa_vs_grain_size3672.png

(b) Peierls lattice thermal conductivity w.r.t grain size

Phonon lifetime and scattering rates

../../_images/fig_lifetime3590.png

(a) Phonon lifetime due to phonon-phonon scattering

../../_images/fig_scat_rates3589.png

(b) Phonon scattering rates

Cumulative and spectral thermal conductivity

../../_images/fig_cumu_frequency3590.png

(a) Spectral and cumulative thermal conductivity w.r.t frequency

../../_images/fig_cumu_mfp3589.png

(b) Spectral and cumulative thermal conductivity w.r.t MFP

Force constants

../../_images/fig_fc28861.png

(a) Force constants w.r.t atomic distance

Summary

../../_images/fig_kappa6845.png

(a) Temperature-dependent lattice thermal conductivity

../../_images/fig_times15913.png

(b) Computation time