mp-504952-2/InGaSe3/harm

Equation of state

../../_images/fig_bm4905.png

(a) Equation of state

Harmonic properties

../../_images/fig_bandos_pr9837.png

(a) Phonon dispersion with participation ratio and DOS

../../_images/fig_bandos13740.png

(b) Phonon dispersion and DOS

../../_images/fig_thermo9837.png

(c) Thermodynamic properties

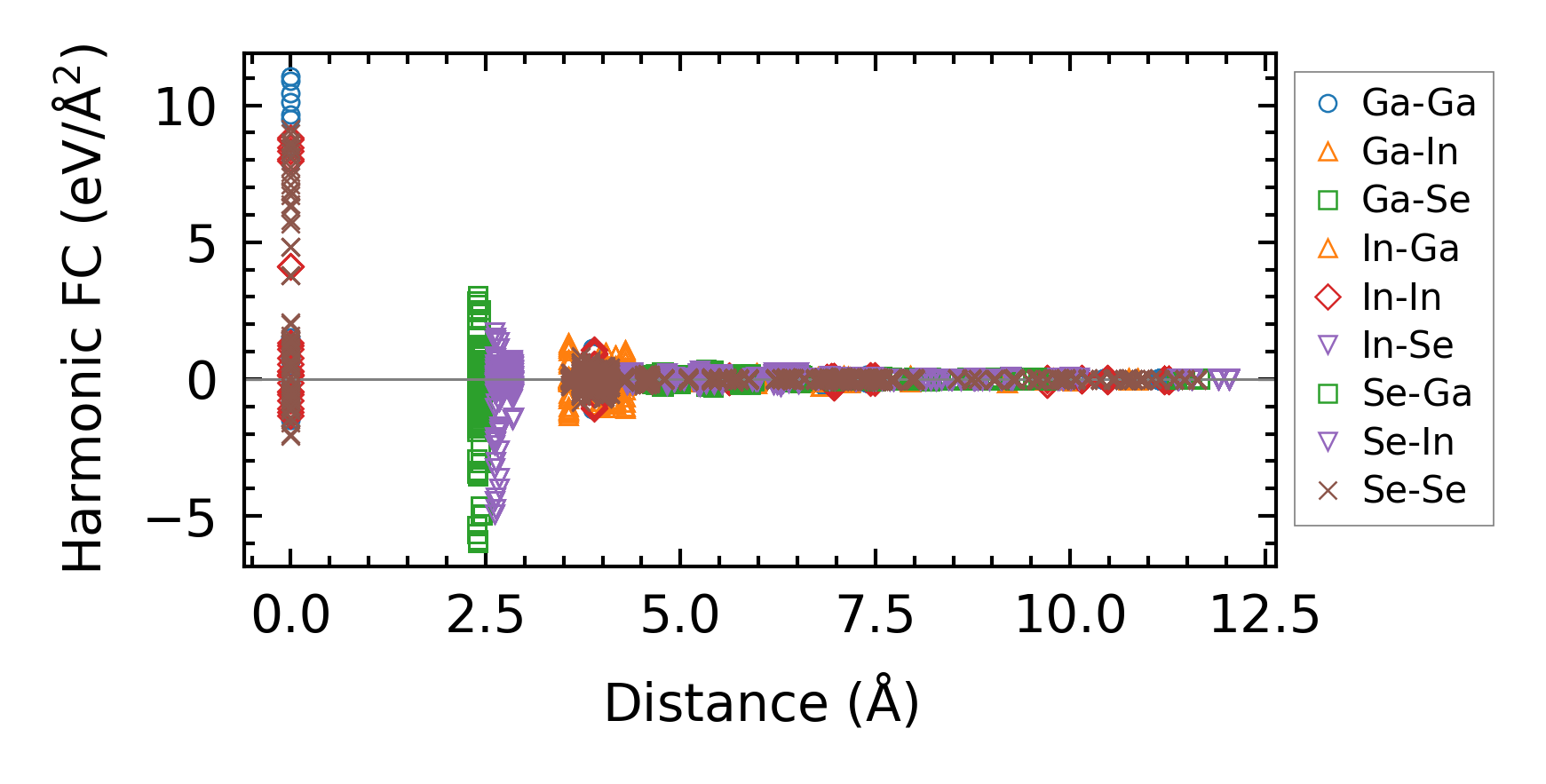
Force constants

../../_images/fig_fc29592.png

(a) Force constants w.r.t atomic distance

Summary

../../_images/fig_times17100.png

(a) Computation time