mp-504554/Ba5Ta4O15/anharm

Harmonic properties

../../_images/fig_bandos_pr9800.png

(a) Phonon dispersion with participation ratio and DOS

../../_images/fig_thermo9800.png

(b) Thermodynamic properties

Grüneisen parameters

../../_images/fig_gru_all3920.png

(a) Grüneisen parameters

../../_images/fig_gruneisen3920.png

(b) Phonon dispersion with Grüneisen parameters

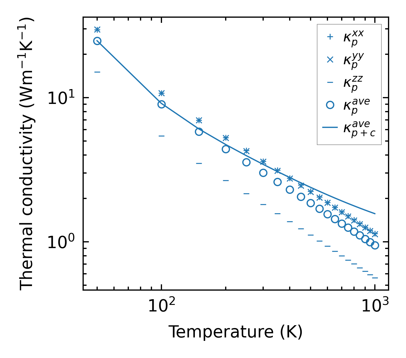
Thermal conductivity

3-phonon (LASSO) — q-mesh: 13x13x6, supercell: 2x2x1

../../_images/fig_kappa7392.png

(a) Temperature-dependent lattice thermal conductivity

../../_images/fig_kappa_vs_grain_size3971.png

(b) Peierls lattice thermal conductivity w.r.t grain size

Phonon lifetime and scattering rates

../../_images/fig_lifetime3883.png

(a) Phonon lifetime due to phonon-phonon scattering

../../_images/fig_scat_rates3882.png

(b) Phonon scattering rates

Cumulative and spectral thermal conductivity

../../_images/fig_cumu_frequency3883.png

(a) Spectral and cumulative thermal conductivity w.r.t frequency

../../_images/fig_cumu_mfp3882.png

(b) Spectral and cumulative thermal conductivity w.r.t MFP

Force constants

../../_images/fig_fc29556.png

(a) Force constants w.r.t atomic distance

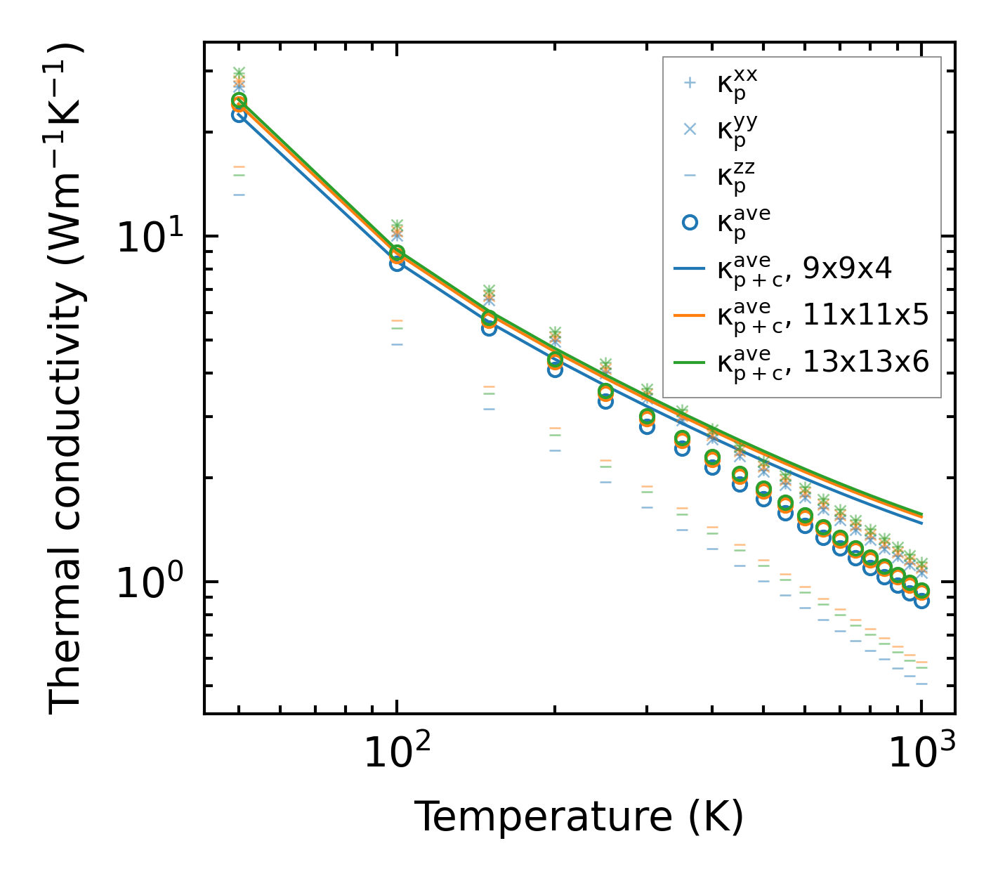
Summary

../../_images/fig_kappa7393.png

(a) Temperature-dependent lattice thermal conductivity

../../_images/fig_times17030.png

(b) Computation time