mp-504729/Cs2PdF6/anharm

Harmonic properties

../../_images/fig_bandos_pr9809.png

(a) Phonon dispersion with participation ratio and DOS

../../_images/fig_thermo9809.png

(b) Thermodynamic properties

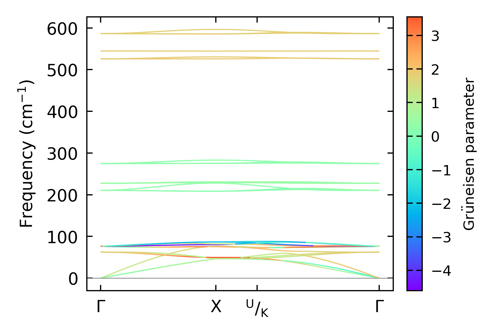
Grüneisen parameters

../../_images/fig_gru_all3923.png

(a) Grüneisen parameters

../../_images/fig_gruneisen3923.png

(b) Phonon dispersion with Grüneisen parameters

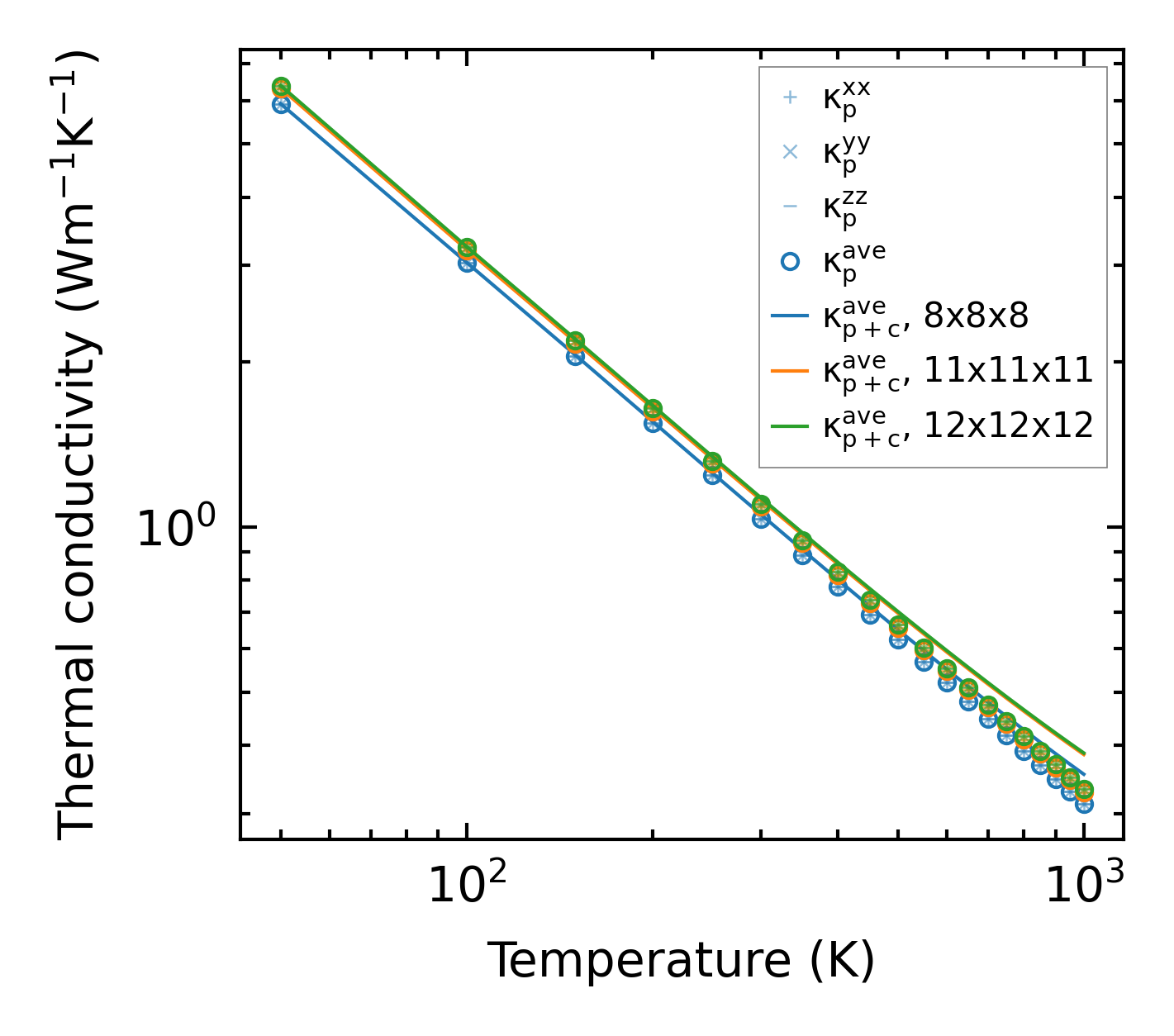
Thermal conductivity

3-phonon — q-mesh: 12x12x12, supercell: 1x1x1

../../_images/fig_kappa7398.png

(a) Temperature-dependent lattice thermal conductivity

../../_images/fig_kappa_vs_grain_size3974.png

(b) Peierls lattice thermal conductivity w.r.t grain size

Phonon lifetime and scattering rates

../../_images/fig_lifetime3886.png

(a) Phonon lifetime due to phonon-phonon scattering

../../_images/fig_scat_rates3885.png

(b) Phonon scattering rates

Cumulative and spectral thermal conductivity

../../_images/fig_cumu_frequency3886.png

(a) Spectral and cumulative thermal conductivity w.r.t frequency

../../_images/fig_cumu_mfp3885.png

(b) Spectral and cumulative thermal conductivity w.r.t MFP

Force constants

../../_images/fig_fc3245.png

(a) Force constants w.r.t atomic distance

Summary

../../_images/fig_kappa7399.png

(a) Temperature-dependent lattice thermal conductivity

../../_images/fig_times17053.png

(b) Computation time