mp-38843-2/CaTa2O6/harm

Equation of state

../../_images/fig_bm5148.png

(a) Equation of state

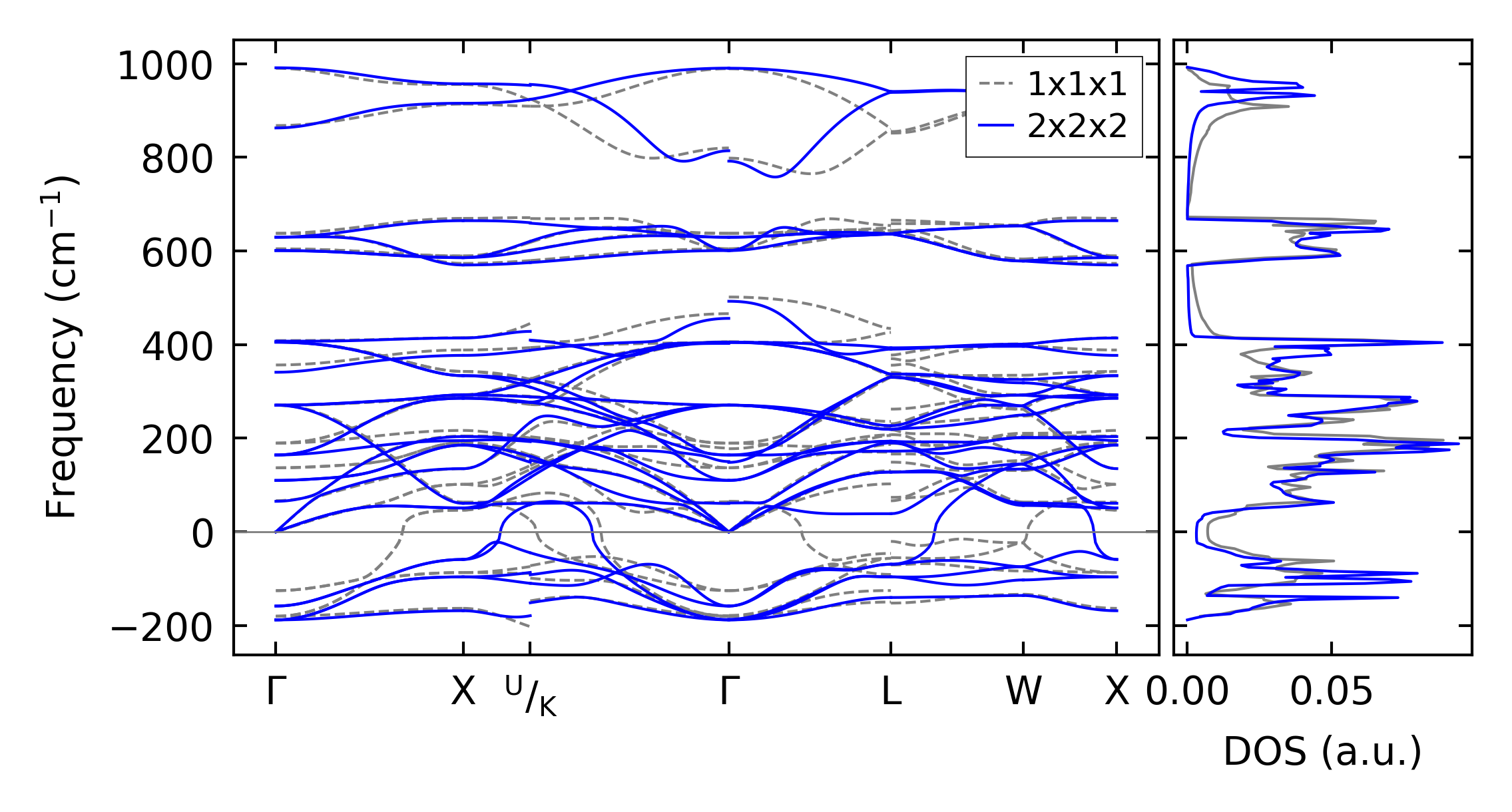
Harmonic properties

../../_images/fig_bandos_pr10268.png

(a) Phonon dispersion with participation ratio and DOS

../../_images/fig_bandos14199.png

(b) Phonon dispersion and DOS

../../_images/fig_thermo10268.png

(c) Thermodynamic properties

Force constants

../../_images/fig_fc210018.png

(a) Force constants w.r.t atomic distance

Summary

../../_images/fig_times17743.png

(a) Computation time