mp-38222-2/NaCN/anharm

Equation of state

../../_images/fig_bm5273.png

(a) Equation of state

Harmonic properties

../../_images/fig_bandos_pr10616.png

(a) Phonon dispersion with participation ratio and DOS

../../_images/fig_thermo10616.png

(b) Thermodynamic properties

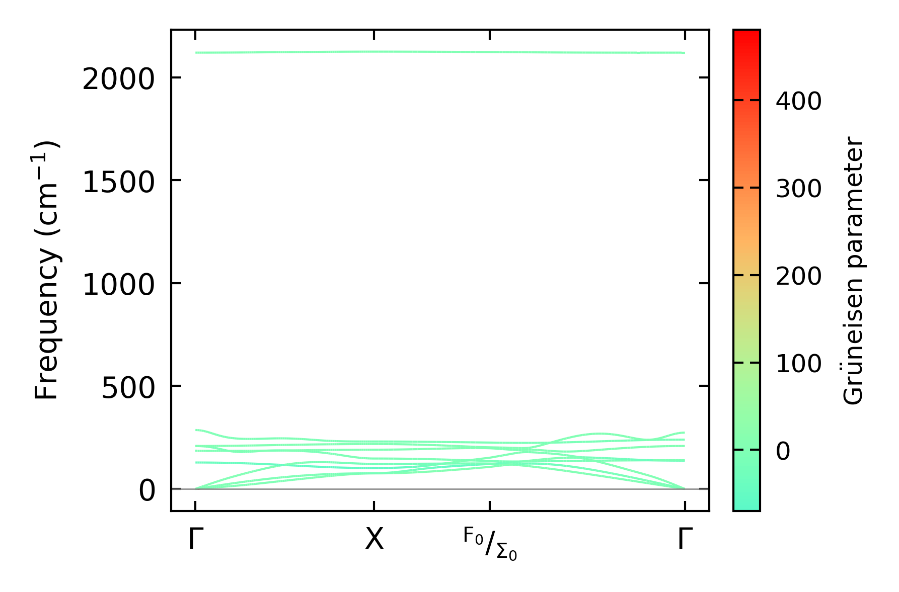
Grüneisen parameters

../../_images/fig_gru_all4308.png

(a) Grüneisen parameters

../../_images/fig_gruneisen4308.png

(b) Phonon dispersion with Grüneisen parameters

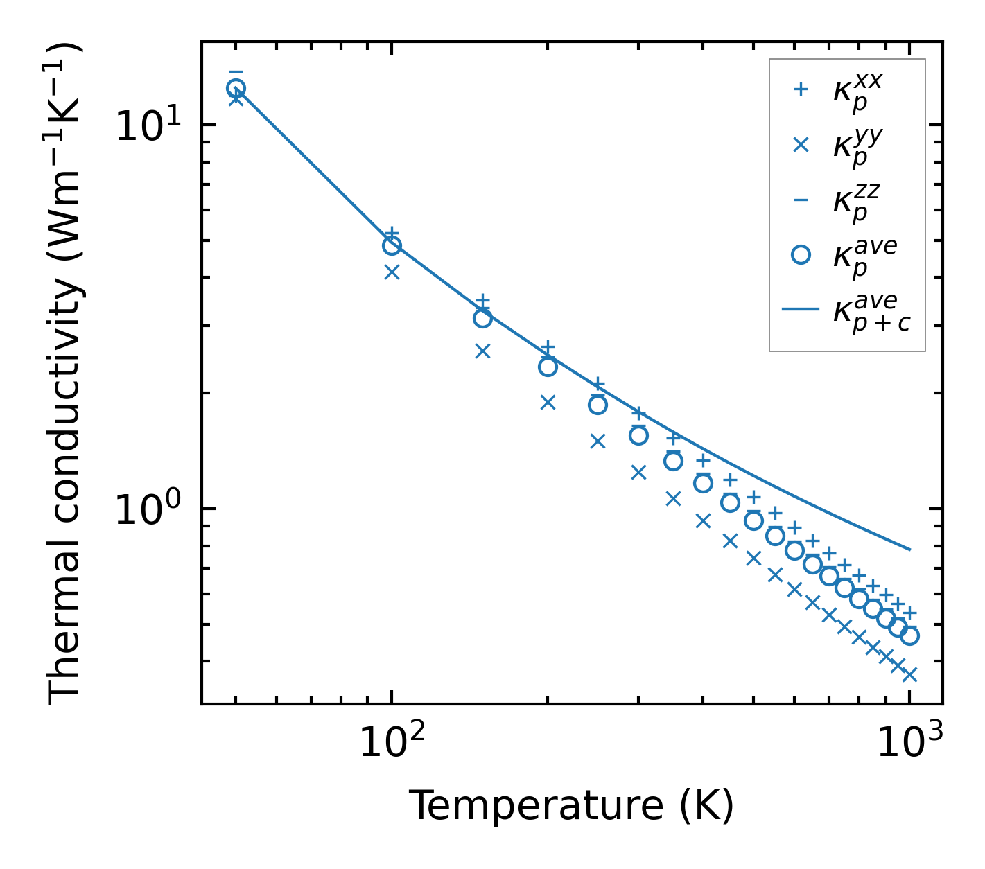
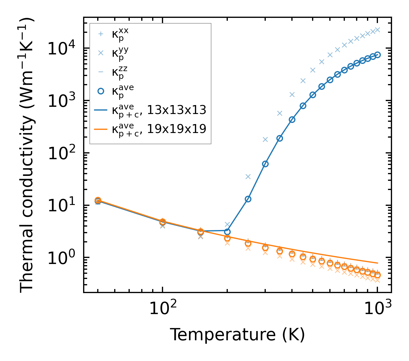
Thermal conductivity

3-phonon (LASSO) — q-mesh: 19x19x19, supercell: 4x2x3

../../_images/fig_kappa8124.png

(a) Temperature-dependent lattice thermal conductivity

../../_images/fig_kappa_vs_grain_size4359.png

(b) Peierls lattice thermal conductivity w.r.t grain size

Phonon lifetime and scattering rates

../../_images/fig_lifetime4265.png

(a) Phonon lifetime due to phonon-phonon scattering

../../_images/fig_scat_rates4264.png

(b) Phonon scattering rates

Cumulative and spectral thermal conductivity

../../_images/fig_cumu_frequency4265.png

(a) Spectral and cumulative thermal conductivity w.r.t frequency

../../_images/fig_cumu_mfp4264.png

(b) Spectral and cumulative thermal conductivity w.r.t MFP

Force constants

../../_images/fig_fc210350.png

(a) Force constants w.r.t atomic distance

Summary

../../_images/fig_kappa8125.png

(a) Temperature-dependent lattice thermal conductivity

../../_images/fig_times18246.png

(b) Computation time