mp-38307/MgAl2O4/anharm

Harmonic properties

../../_images/fig_bandos_pr10618.png

(a) Phonon dispersion with participation ratio and DOS

../../_images/fig_thermo10618.png

(b) Thermodynamic properties

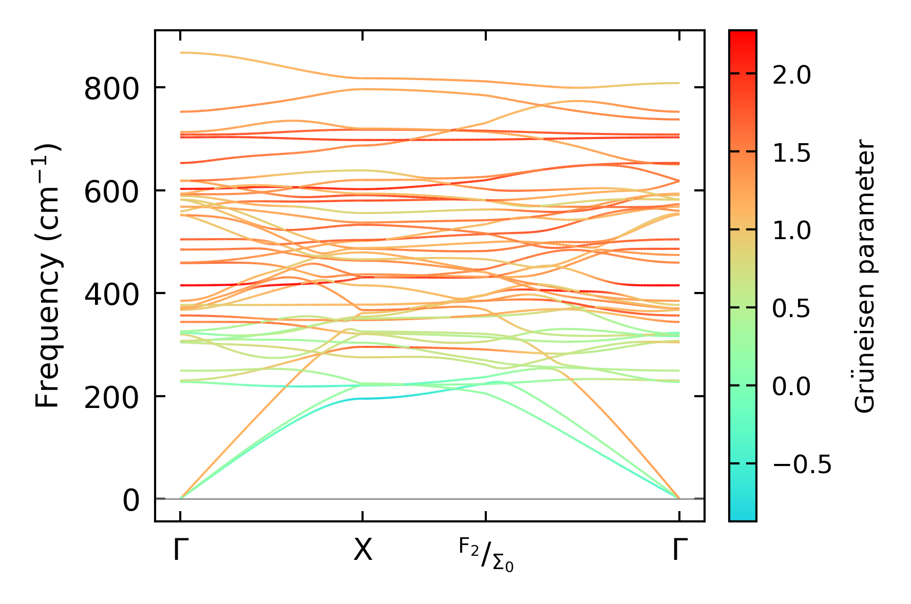
Grüneisen parameters

../../_images/fig_gru_all4310.png

(a) Grüneisen parameters

../../_images/fig_gruneisen4310.png

(b) Phonon dispersion with Grüneisen parameters

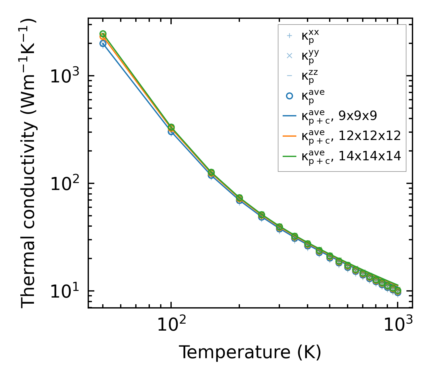
Thermal conductivity

3-phonon (LASSO) — q-mesh: 14x14x14, supercell: 2x2x1

../../_images/fig_kappa8128.png

(a) Temperature-dependent lattice thermal conductivity

../../_images/fig_kappa_vs_grain_size4361.png

(b) Peierls lattice thermal conductivity w.r.t grain size

Phonon lifetime and scattering rates

../../_images/fig_lifetime4267.png

(a) Phonon lifetime due to phonon-phonon scattering

../../_images/fig_scat_rates4266.png

(b) Phonon scattering rates

Cumulative and spectral thermal conductivity

../../_images/fig_cumu_frequency4267.png

(a) Spectral and cumulative thermal conductivity w.r.t frequency

../../_images/fig_cumu_mfp4266.png

(b) Spectral and cumulative thermal conductivity w.r.t MFP

Force constants

../../_images/fig_fc210352.png

(a) Force constants w.r.t atomic distance

Summary

../../_images/fig_kappa8129.png

(a) Temperature-dependent lattice thermal conductivity

../../_images/fig_times18249.png

(b) Computation time