mp-38695/LiTbSe2/anharm

Harmonic properties

../../_images/fig_bandos_pr10628.png

(a) Phonon dispersion with participation ratio and DOS

../../_images/fig_thermo10628.png

(b) Thermodynamic properties

Grüneisen parameters

../../_images/fig_gru_all4314.png

(a) Grüneisen parameters

../../_images/fig_gruneisen4314.png

(b) Phonon dispersion with Grüneisen parameters

Thermal conductivity

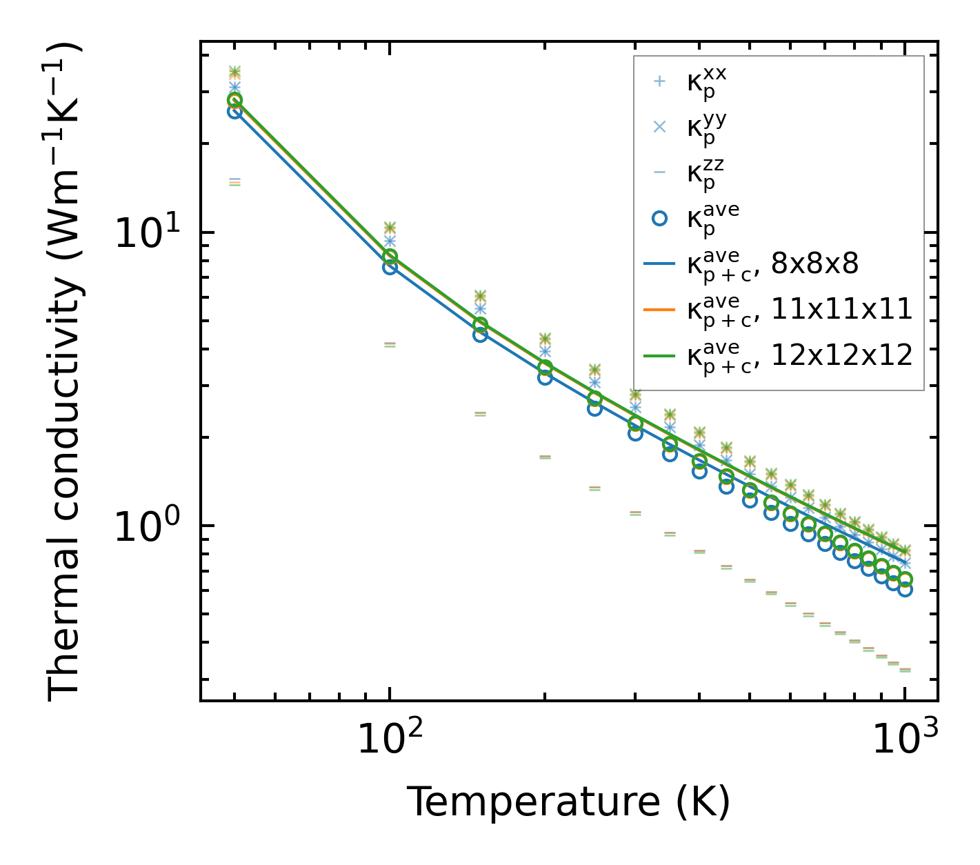
3-phonon (LASSO) — q-mesh: 12x12x12, supercell: 3x3x1

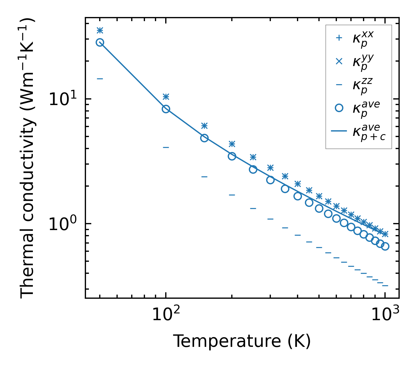
../../_images/fig_kappa8136.png

(a) Temperature-dependent lattice thermal conductivity

../../_images/fig_kappa_vs_grain_size4365.png

(b) Peierls lattice thermal conductivity w.r.t grain size

Phonon lifetime and scattering rates

../../_images/fig_lifetime4271.png

(a) Phonon lifetime due to phonon-phonon scattering

../../_images/fig_scat_rates4270.png

(b) Phonon scattering rates

Cumulative and spectral thermal conductivity

../../_images/fig_cumu_frequency4271.png

(a) Spectral and cumulative thermal conductivity w.r.t frequency

../../_images/fig_cumu_mfp4270.png

(b) Spectral and cumulative thermal conductivity w.r.t MFP

Force constants

../../_images/fig_fc210362.png

(a) Force constants w.r.t atomic distance

Summary

../../_images/fig_kappa8137.png

(a) Temperature-dependent lattice thermal conductivity

../../_images/fig_times18262.png

(b) Computation time