mp-36508/SnHgF6/harm

Harmonic properties

../../_images/fig_bandos_pr10553.png

(a) Phonon dispersion with participation ratio and DOS

../../_images/fig_thermo10553.png

(b) Thermodynamic properties

Grüneisen parameters

../../_images/fig_gru_all4290.png

(a) Grüneisen parameters

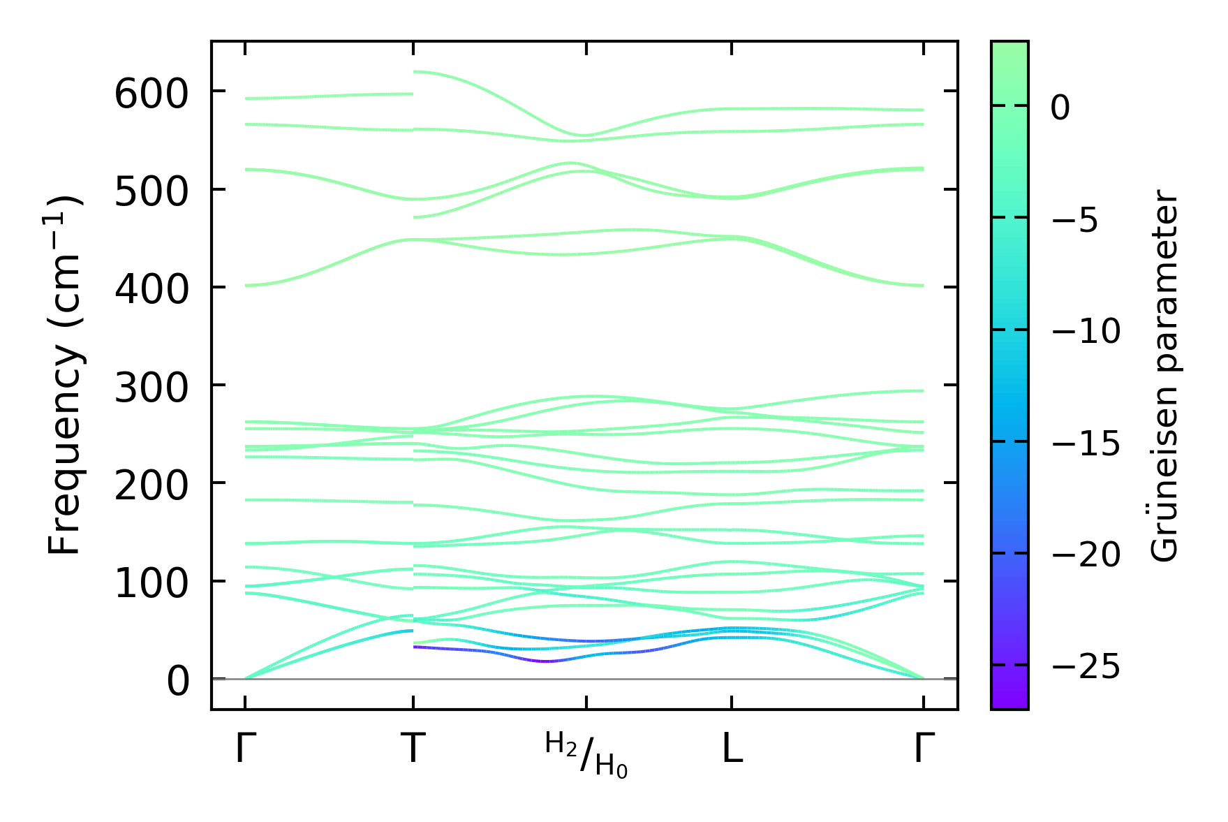
../../_images/fig_gruneisen4290.png

(b) Phonon dispersion with Grüneisen parameters

Force constants

../../_images/fig_fc210290.png

(a) Force constants w.r.t atomic distance

Summary

../../_images/fig_times18148.png

(a) Computation time