mp-36033/PrOF/anharm

Harmonic properties

../../_images/fig_bandos_pr10538.png

(a) Phonon dispersion with participation ratio and DOS

../../_images/fig_thermo10538.png

(b) Thermodynamic properties

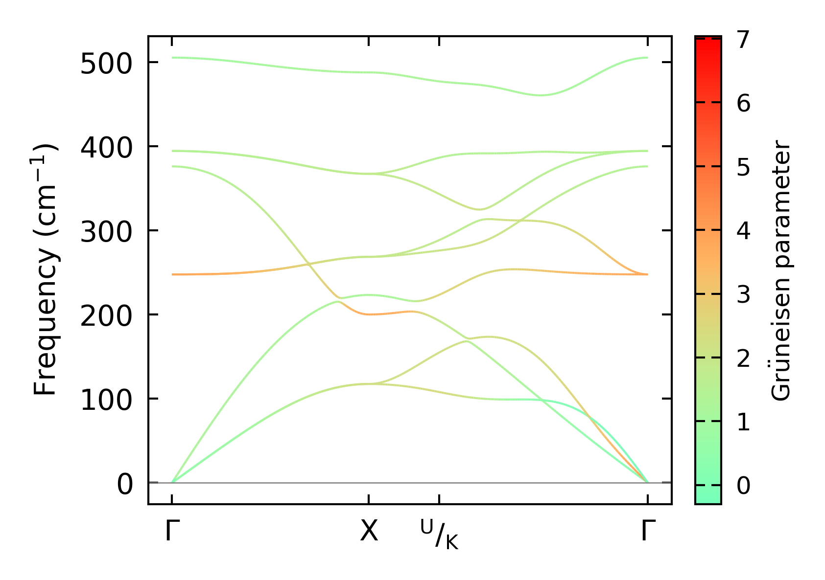
Grüneisen parameters

../../_images/fig_gru_all4282.png

(a) Grüneisen parameters

../../_images/fig_gruneisen4282.png

(b) Phonon dispersion with Grüneisen parameters

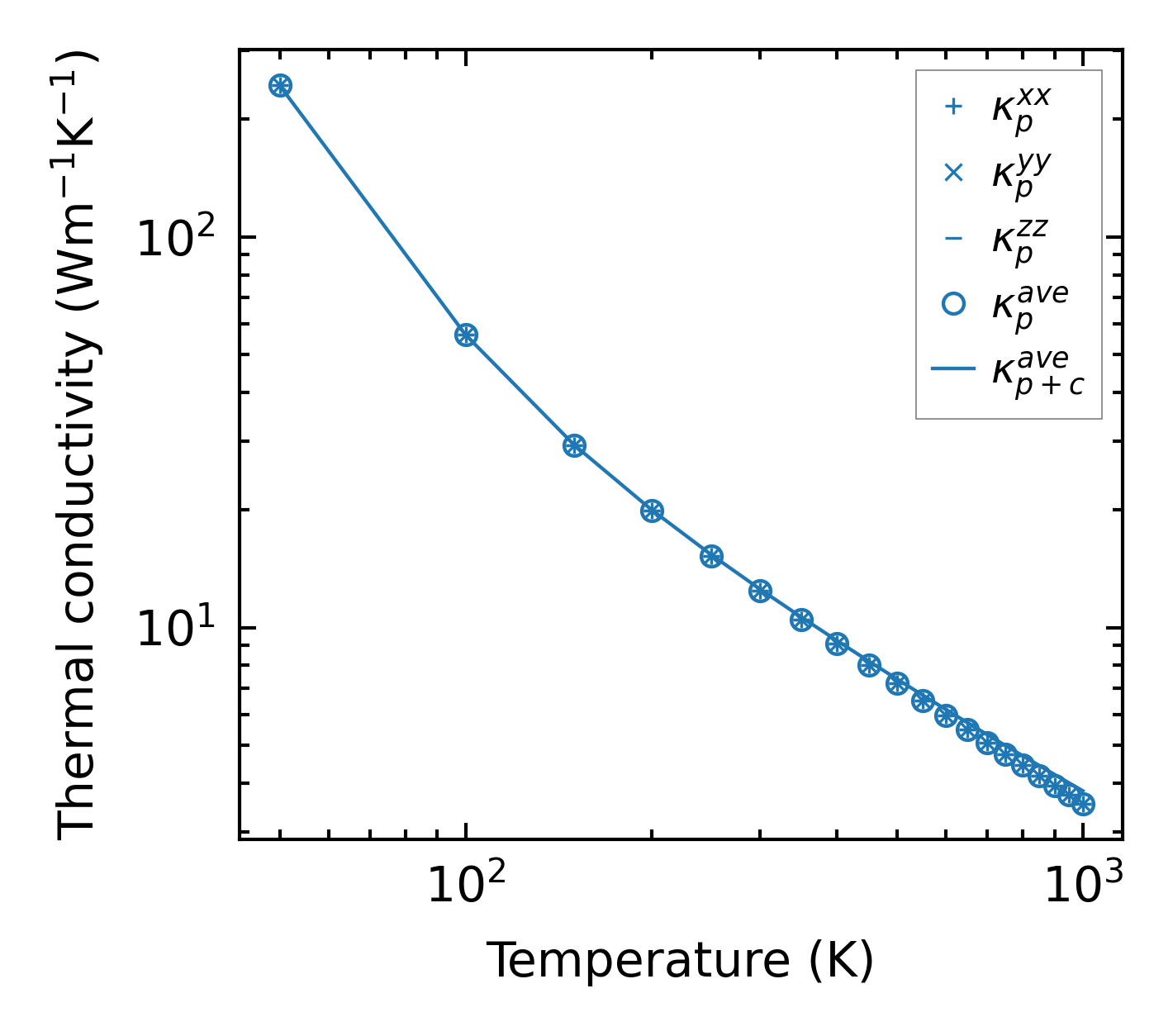
Thermal conductivity

3-phonon — q-mesh: 20x20x20, supercell: 2x2x2

../../_images/fig_kappa8074.png

(a) Temperature-dependent lattice thermal conductivity

../../_images/fig_kappa_vs_grain_size4334.png

(b) Peierls lattice thermal conductivity w.r.t grain size

Phonon lifetime and scattering rates

../../_images/fig_lifetime4240.png

(a) Phonon lifetime due to phonon-phonon scattering

../../_images/fig_scat_rates4239.png

(b) Phonon scattering rates

Cumulative and spectral thermal conductivity

../../_images/fig_cumu_frequency4240.png

(a) Spectral and cumulative thermal conductivity w.r.t frequency

../../_images/fig_cumu_mfp4239.png

(b) Spectral and cumulative thermal conductivity w.r.t MFP

Force constants

../../_images/fig_fc3262.png

(a) Force constants w.r.t atomic distance

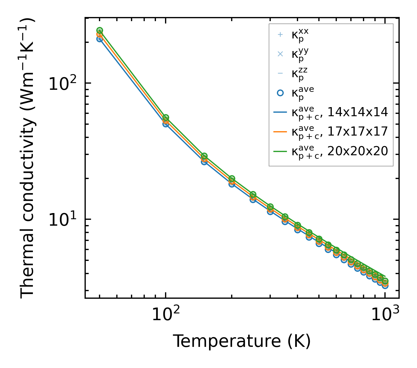
Summary

../../_images/fig_kappa8075.png

(a) Temperature-dependent lattice thermal conductivity

../../_images/fig_times18128.png

(b) Computation time