mp-36031/CaLa2Te4/anharm

Harmonic properties

../../_images/fig_bandos_pr10537.png

(a) Phonon dispersion with participation ratio and DOS

../../_images/fig_thermo10537.png

(b) Thermodynamic properties

Grüneisen parameters

../../_images/fig_gru_all4281.png

(a) Grüneisen parameters

../../_images/fig_gruneisen4281.png

(b) Phonon dispersion with Grüneisen parameters

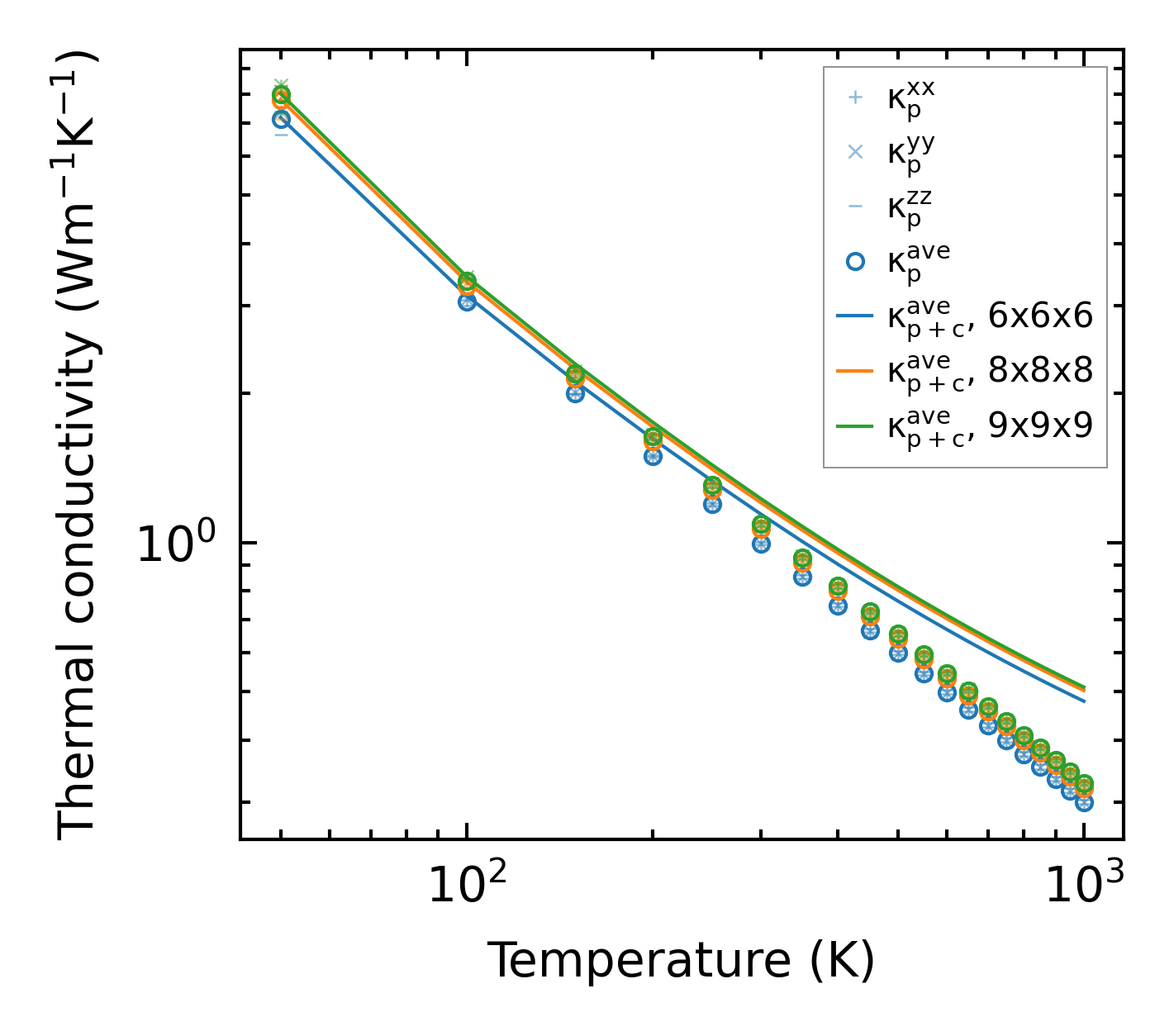
Thermal conductivity

3-phonon (LASSO) — q-mesh: 9x9x9, supercell: 2x2x1

../../_images/fig_kappa8072.png

(a) Temperature-dependent lattice thermal conductivity

../../_images/fig_kappa_vs_grain_size4333.png

(b) Peierls lattice thermal conductivity w.r.t grain size

Phonon lifetime and scattering rates

../../_images/fig_lifetime4239.png

(a) Phonon lifetime due to phonon-phonon scattering

../../_images/fig_scat_rates4238.png

(b) Phonon scattering rates

Cumulative and spectral thermal conductivity

../../_images/fig_cumu_frequency4239.png

(a) Spectral and cumulative thermal conductivity w.r.t frequency

../../_images/fig_cumu_mfp4238.png

(b) Spectral and cumulative thermal conductivity w.r.t MFP

Force constants

../../_images/fig_fc210276.png

(a) Force constants w.r.t atomic distance

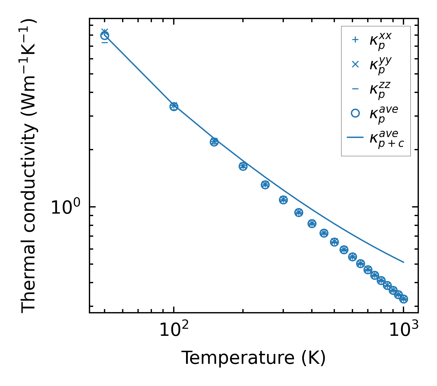
Summary

../../_images/fig_kappa8073.png

(a) Temperature-dependent lattice thermal conductivity

../../_images/fig_times18127.png

(b) Computation time