mp-36007/BaNd2Se4/anharm

Harmonic properties

../../_images/fig_bandos_pr10535.png

(a) Phonon dispersion with participation ratio and DOS

../../_images/fig_thermo10535.png

(b) Thermodynamic properties

Grüneisen parameters

../../_images/fig_gru_all4280.png

(a) Grüneisen parameters

../../_images/fig_gruneisen4280.png

(b) Phonon dispersion with Grüneisen parameters

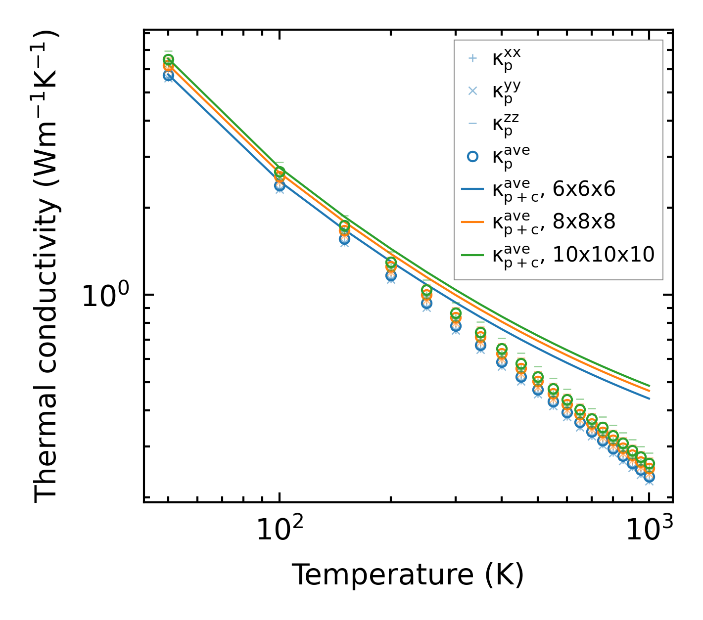
Thermal conductivity

3-phonon (LASSO) — q-mesh: 10x10x10, supercell: 1x1x2

../../_images/fig_kappa8070.png

(a) Temperature-dependent lattice thermal conductivity

../../_images/fig_kappa_vs_grain_size4332.png

(b) Peierls lattice thermal conductivity w.r.t grain size

Phonon lifetime and scattering rates

../../_images/fig_lifetime4238.png

(a) Phonon lifetime due to phonon-phonon scattering

../../_images/fig_scat_rates4237.png

(b) Phonon scattering rates

Cumulative and spectral thermal conductivity

../../_images/fig_cumu_frequency4238.png

(a) Spectral and cumulative thermal conductivity w.r.t frequency

../../_images/fig_cumu_mfp4237.png

(b) Spectral and cumulative thermal conductivity w.r.t MFP

Force constants

../../_images/fig_fc210274.png

(a) Force constants w.r.t atomic distance

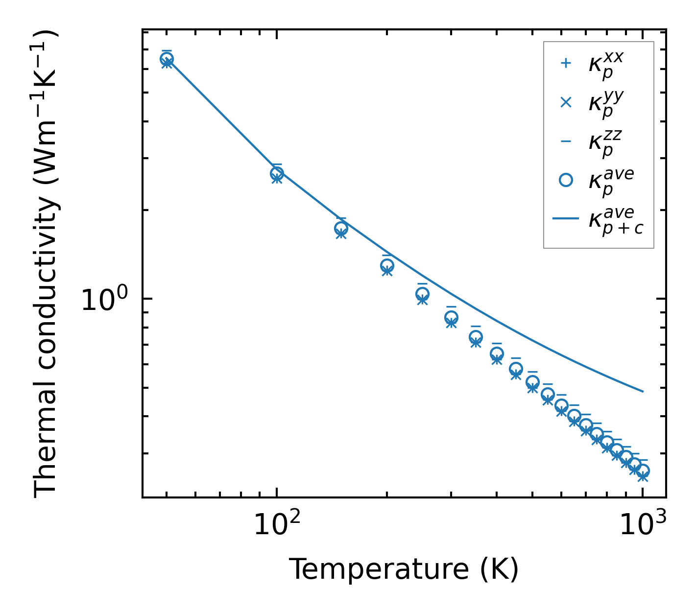
Summary

../../_images/fig_kappa8071.png

(a) Temperature-dependent lattice thermal conductivity

../../_images/fig_times18125.png

(b) Computation time