mp-35746/SrY2S4/anharm

Harmonic properties

../../_images/fig_bandos_pr10526.png

(a) Phonon dispersion with participation ratio and DOS

../../_images/fig_thermo10526.png

(b) Thermodynamic properties

Grüneisen parameters

../../_images/fig_gru_all4274.png

(a) Grüneisen parameters

../../_images/fig_gruneisen4274.png

(b) Phonon dispersion with Grüneisen parameters

Thermal conductivity

3-phonon (LASSO) — q-mesh: 10x10x10, supercell: 1x1x2

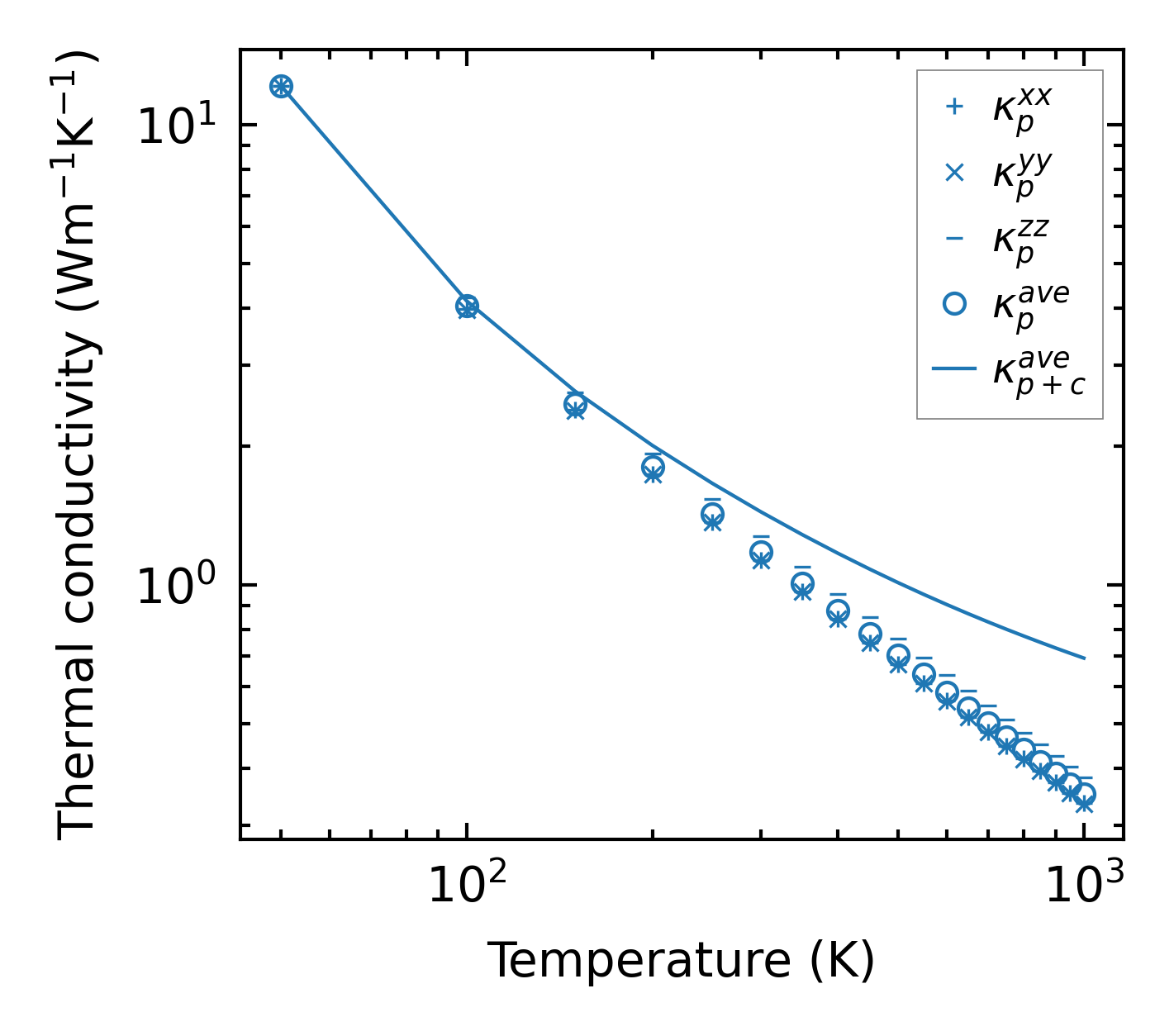
../../_images/fig_kappa8058.png

(a) Temperature-dependent lattice thermal conductivity

../../_images/fig_kappa_vs_grain_size4326.png

(b) Peierls lattice thermal conductivity w.r.t grain size

Phonon lifetime and scattering rates

../../_images/fig_lifetime4232.png

(a) Phonon lifetime due to phonon-phonon scattering

../../_images/fig_scat_rates4231.png

(b) Phonon scattering rates

Cumulative and spectral thermal conductivity

../../_images/fig_cumu_frequency4232.png

(a) Spectral and cumulative thermal conductivity w.r.t frequency

../../_images/fig_cumu_mfp4231.png

(b) Spectral and cumulative thermal conductivity w.r.t MFP

Force constants

../../_images/fig_fc210266.png

(a) Force constants w.r.t atomic distance

Summary

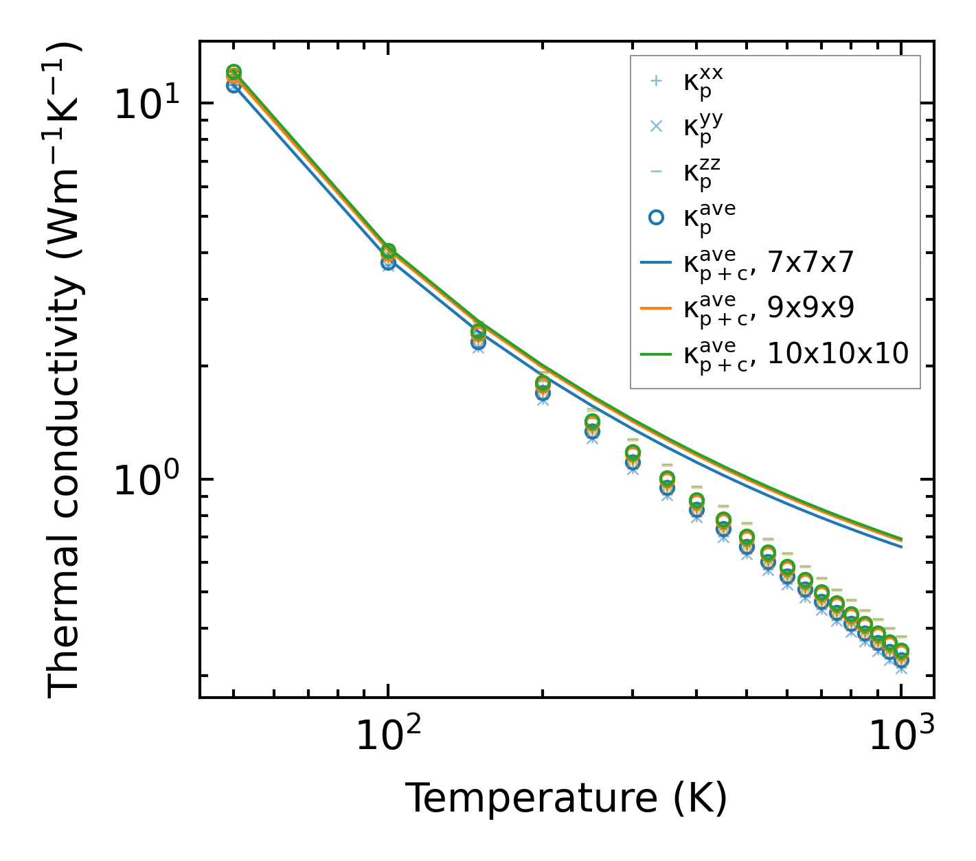
../../_images/fig_kappa8059.png

(a) Temperature-dependent lattice thermal conductivity

../../_images/fig_times18111.png

(b) Computation time