mp-35493/Zn2SnO4/anharm

Harmonic properties

../../_images/fig_bandos_pr10514.png

(a) Phonon dispersion with participation ratio and DOS

../../_images/fig_thermo10514.png

(b) Thermodynamic properties

Grüneisen parameters

../../_images/fig_gru_all4267.png

(a) Grüneisen parameters

../../_images/fig_gruneisen4267.png

(b) Phonon dispersion with Grüneisen parameters

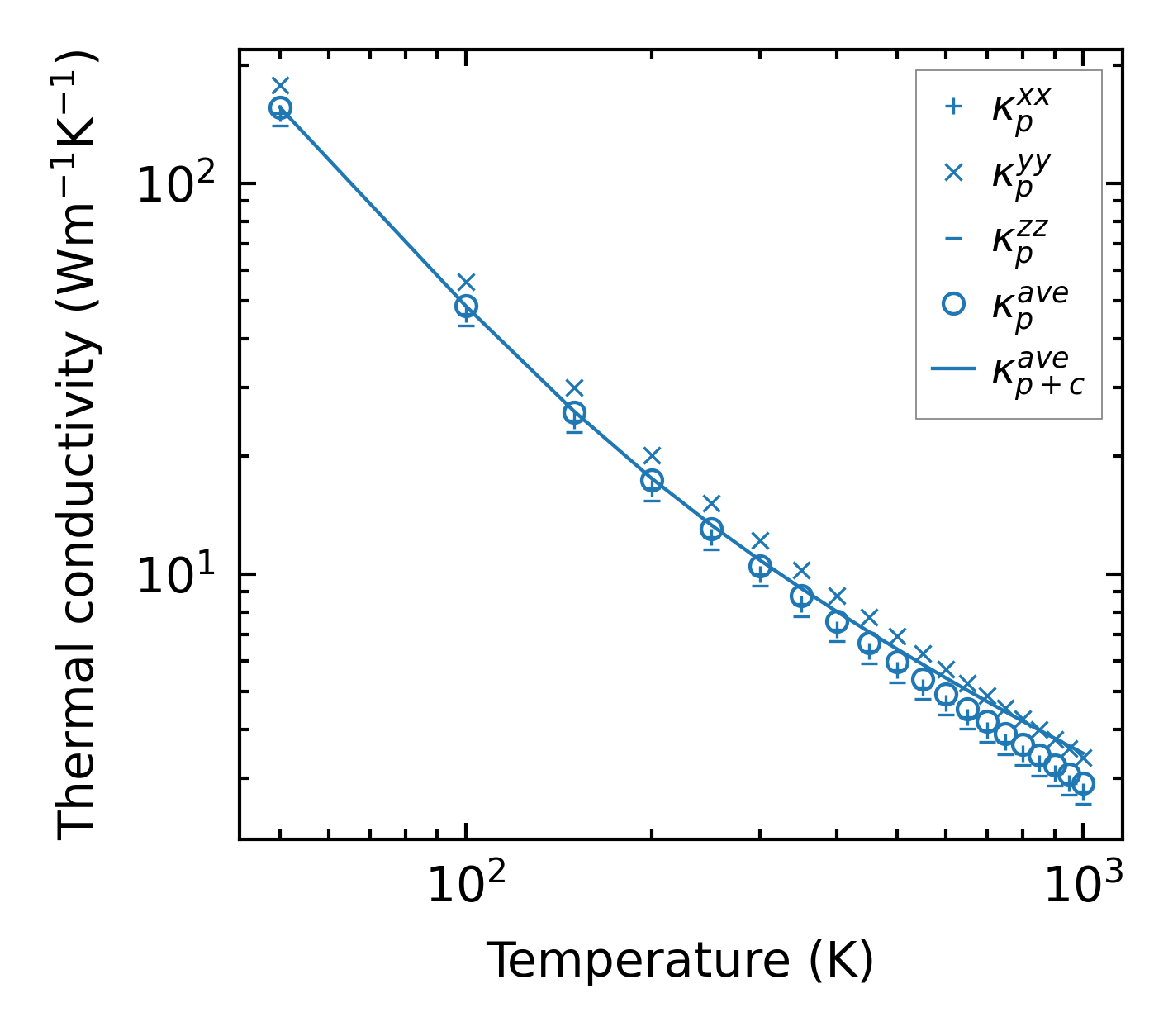
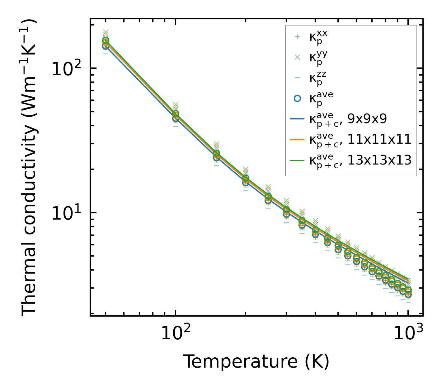
Thermal conductivity

3-phonon (LASSO) — q-mesh: 13x13x13, supercell: 2x2x1

../../_images/fig_kappa8046.png

(a) Temperature-dependent lattice thermal conductivity

../../_images/fig_kappa_vs_grain_size4320.png

(b) Peierls lattice thermal conductivity w.r.t grain size

Phonon lifetime and scattering rates

../../_images/fig_lifetime4226.png

(a) Phonon lifetime due to phonon-phonon scattering

../../_images/fig_scat_rates4225.png

(b) Phonon scattering rates

Cumulative and spectral thermal conductivity

../../_images/fig_cumu_frequency4226.png

(a) Spectral and cumulative thermal conductivity w.r.t frequency

../../_images/fig_cumu_mfp4225.png

(b) Spectral and cumulative thermal conductivity w.r.t MFP

Force constants

../../_images/fig_fc210255.png

(a) Force constants w.r.t atomic distance

Summary

../../_images/fig_kappa8047.png

(a) Temperature-dependent lattice thermal conductivity

../../_images/fig_times18097.png

(b) Computation time