mp-35647/Zn2PtO4/anharm

Harmonic properties

../../_images/fig_bandos_pr10520.png

(a) Phonon dispersion with participation ratio and DOS

../../_images/fig_thermo10520.png

(b) Thermodynamic properties

Grüneisen parameters

../../_images/fig_gru_all4271.png

(a) Grüneisen parameters

../../_images/fig_gruneisen4271.png

(b) Phonon dispersion with Grüneisen parameters

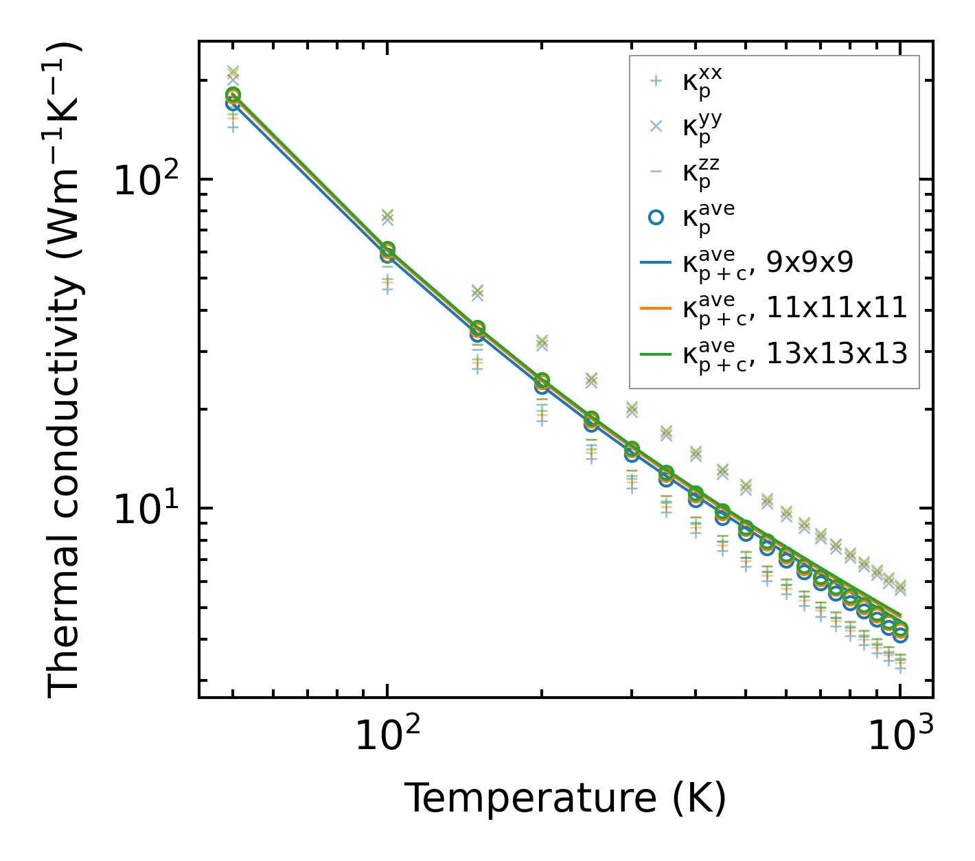
Thermal conductivity

3-phonon (LASSO) — q-mesh: 13x13x13, supercell: 2x2x1

../../_images/fig_kappa8054.png

(a) Temperature-dependent lattice thermal conductivity

../../_images/fig_kappa_vs_grain_size4324.png

(b) Peierls lattice thermal conductivity w.r.t grain size

Phonon lifetime and scattering rates

../../_images/fig_lifetime4230.png

(a) Phonon lifetime due to phonon-phonon scattering

../../_images/fig_scat_rates4229.png

(b) Phonon scattering rates

Cumulative and spectral thermal conductivity

../../_images/fig_cumu_frequency4230.png

(a) Spectral and cumulative thermal conductivity w.r.t frequency

../../_images/fig_cumu_mfp4229.png

(b) Spectral and cumulative thermal conductivity w.r.t MFP

Force constants

../../_images/fig_fc210260.png

(a) Force constants w.r.t atomic distance

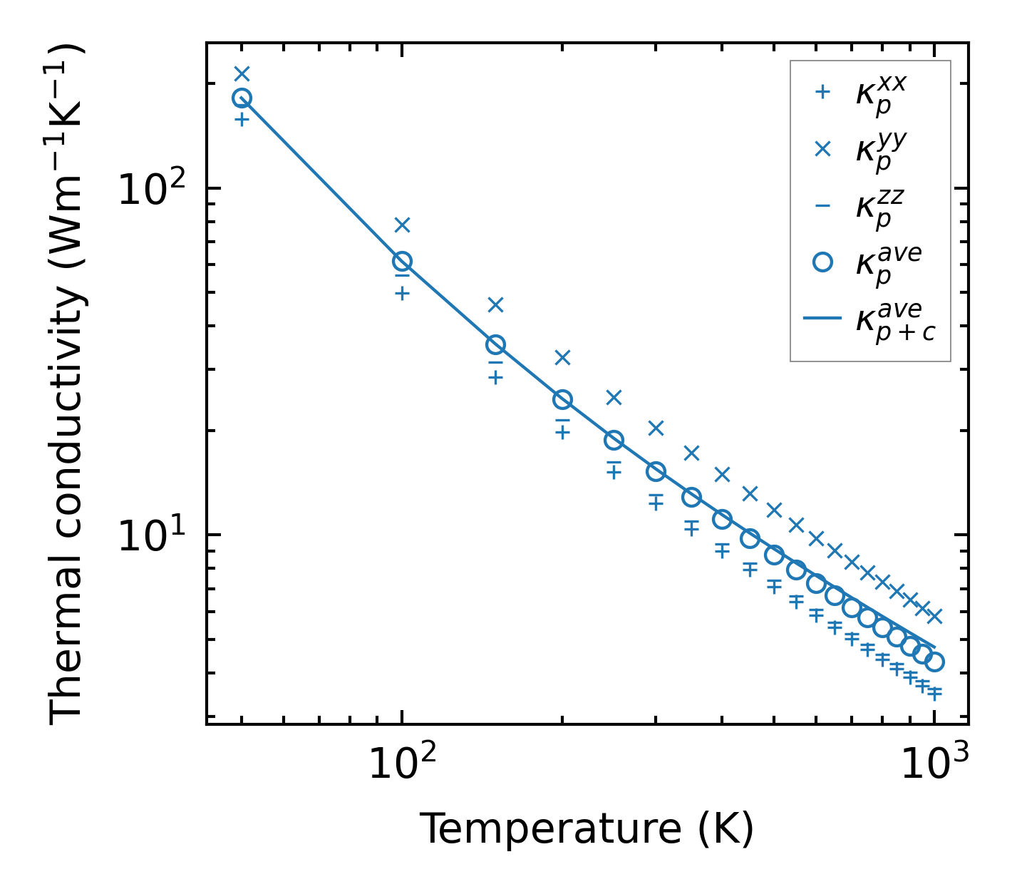
Summary

../../_images/fig_kappa8055.png

(a) Temperature-dependent lattice thermal conductivity

../../_images/fig_times18104.png

(b) Computation time