mp-1207186/DyHSe/anharm

Harmonic properties

../../_images/fig_bandos_pr15487.png

(a) Phonon dispersion with participation ratio and DOS

../../_images/fig_thermo15486.png

(b) Thermodynamic properties

Grüneisen parameters

../../_images/fig_gru_all6703.png

(a) Grüneisen parameters

../../_images/fig_gruneisen6703.png

(b) Phonon dispersion with Grüneisen parameters

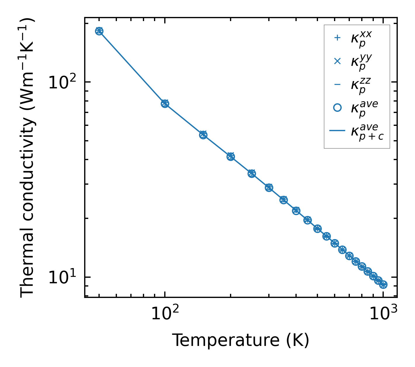
Thermal conductivity

3-phonon (LASSO) — q-mesh: 19x19x19, supercell: 4x4x3

../../_images/fig_kappa12625.png

(a) Temperature-dependent lattice thermal conductivity

../../_images/fig_kappa_vs_grain_size6782.png

(b) Peierls lattice thermal conductivity w.r.t grain size

Phonon lifetime and scattering rates

../../_images/fig_lifetime6637.png

(a) Phonon lifetime due to phonon-phonon scattering

../../_images/fig_scat_rates6636.png

(b) Phonon scattering rates

Cumulative and spectral thermal conductivity

../../_images/fig_cumu_frequency6637.png

(a) Spectral and cumulative thermal conductivity w.r.t frequency

../../_images/fig_cumu_mfp6636.png

(b) Spectral and cumulative thermal conductivity w.r.t MFP

Force constants

../../_images/fig_fc215082.png

(a) Force constants w.r.t atomic distance

Summary

../../_images/fig_kappa12626.png

(a) Temperature-dependent lattice thermal conductivity

../../_images/fig_times25581.png

(b) Computation time