mp-1207136-2/RbAgC2/anharm

Equation of state

../../_images/fig_bm7579.png

(a) Equation of state

Harmonic properties

../../_images/fig_bandos_pr15485.png

(a) Phonon dispersion with participation ratio and DOS

../../_images/fig_bandos19852.png

(b) Phonon dispersion and DOS

../../_images/fig_thermo15484.png

(c) Thermodynamic properties

Grüneisen parameters

../../_images/fig_gru_all6702.png

(a) Grüneisen parameters

../../_images/fig_gruneisen6702.png

(b) Phonon dispersion with Grüneisen parameters

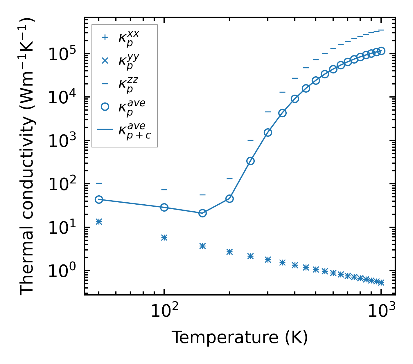
Thermal conductivity

3-phonon — q-mesh: 16x16x13, supercell: 3x3x3

../../_images/fig_kappa12622.png

(a) Temperature-dependent lattice thermal conductivity

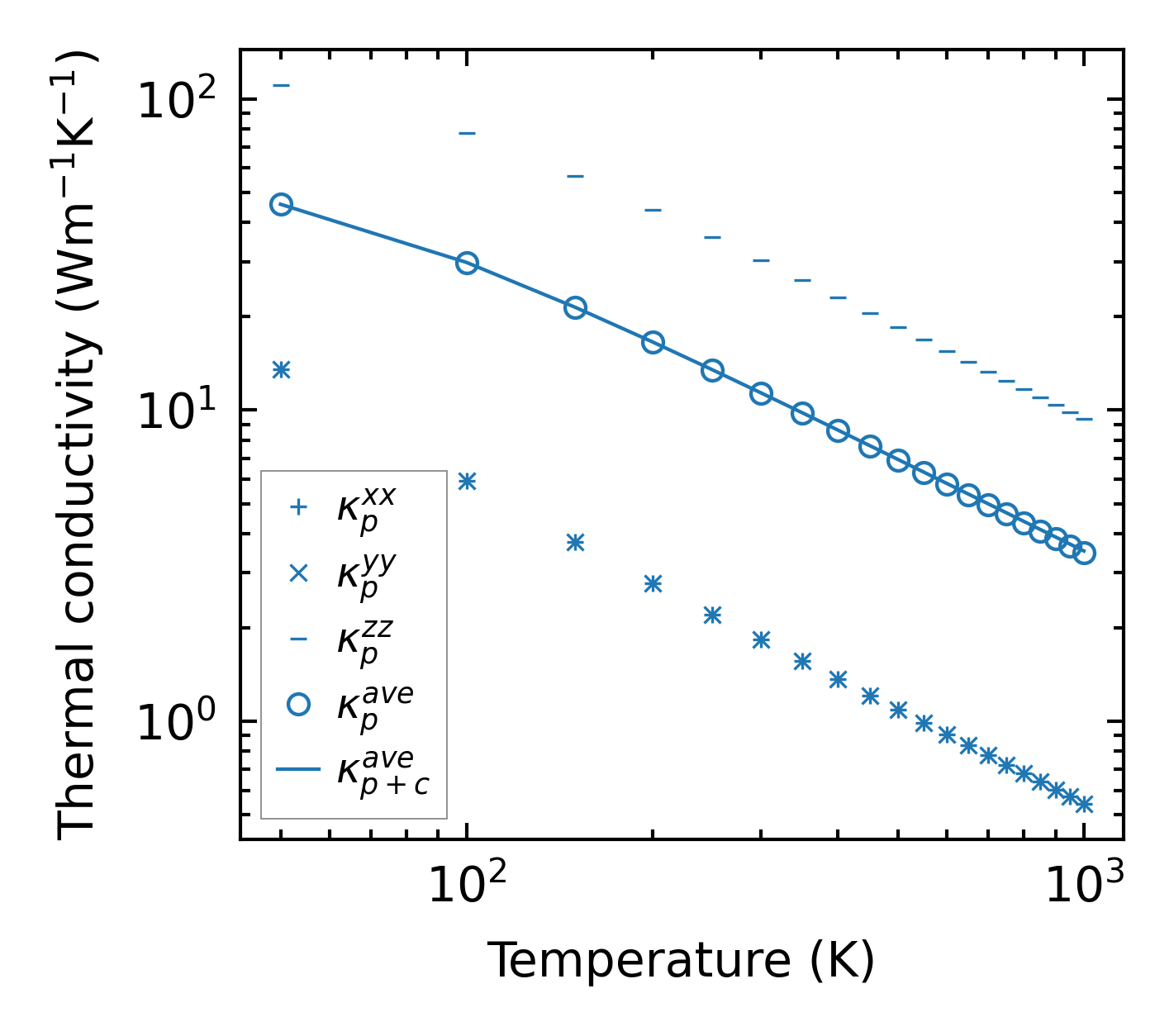
../../_images/fig_kappa_vs_grain_size6780.png

(b) Peierls lattice thermal conductivity w.r.t grain size

3-phonon, supercell 4x4x3 — q-mesh: 16x16x13, supercell: 4x4x3

../../_images/fig_kappa12623.png

(a) Temperature-dependent lattice thermal conductivity

../../_images/fig_kappa_vs_grain_size6781.png

(b) Peierls lattice thermal conductivity w.r.t grain size

Phonon lifetime and scattering rates

../../_images/fig_lifetime6636.png

(a) Phonon lifetime due to phonon-phonon scattering

../../_images/fig_scat_rates6635.png

(b) Phonon scattering rates

Cumulative and spectral thermal conductivity

../../_images/fig_cumu_frequency6636.png

(a) Spectral and cumulative thermal conductivity w.r.t frequency

../../_images/fig_cumu_mfp6635.png

(b) Spectral and cumulative thermal conductivity w.r.t MFP

Force constants

../../_images/fig_fc3405.png

(a) Force constants w.r.t atomic distance

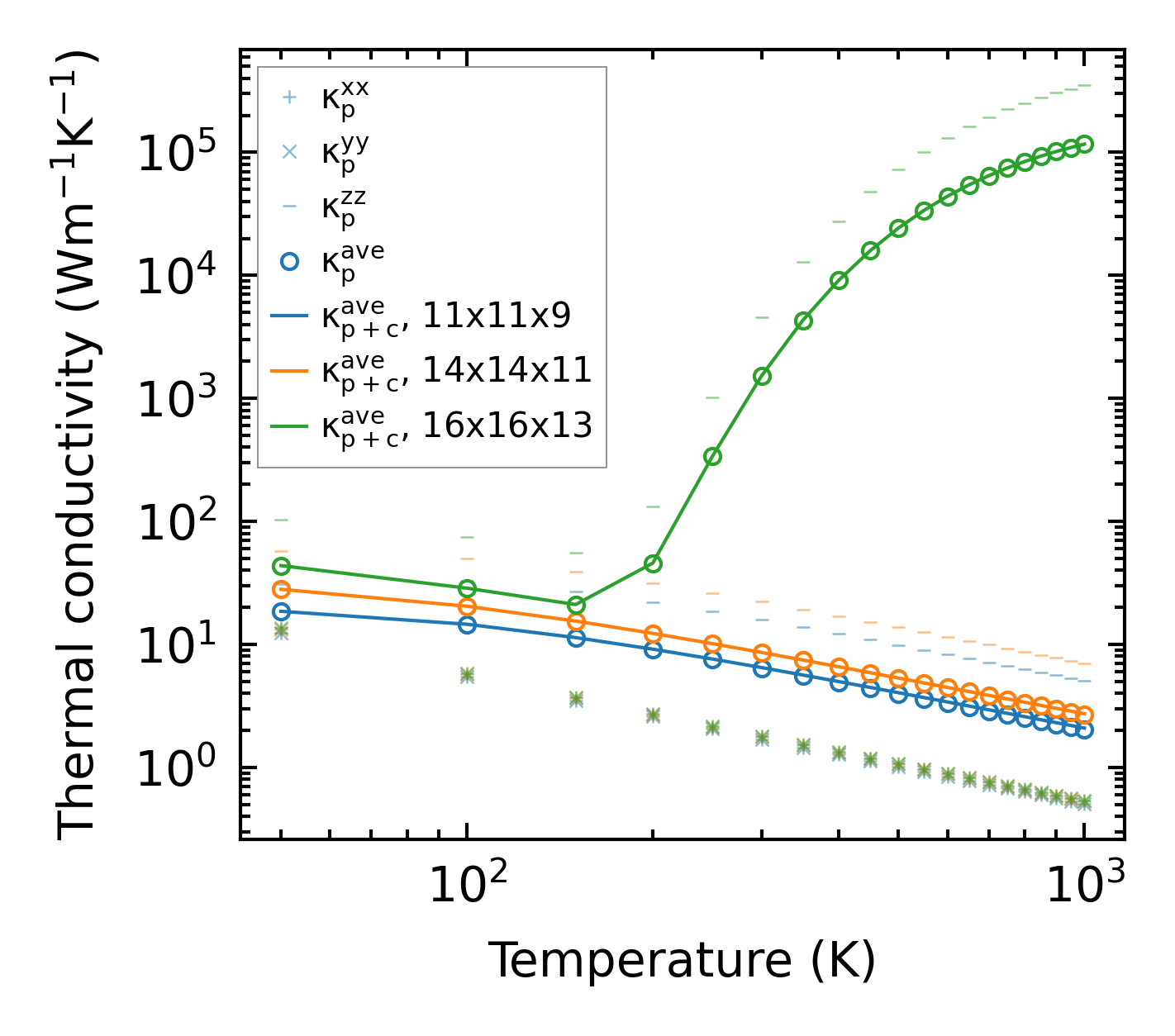
Summary

../../_images/fig_kappa12624.png

(a) Temperature-dependent lattice thermal conductivity

../../_images/fig_times25578.png

(b) Computation time