mp-1207108/BaAlGeH/anharm

Harmonic properties

../../_images/fig_bandos_pr15481.png

(a) Phonon dispersion with participation ratio and DOS

../../_images/fig_thermo15480.png

(b) Thermodynamic properties

Grüneisen parameters

../../_images/fig_gru_all6701.png

(a) Grüneisen parameters

../../_images/fig_gruneisen6701.png

(b) Phonon dispersion with Grüneisen parameters

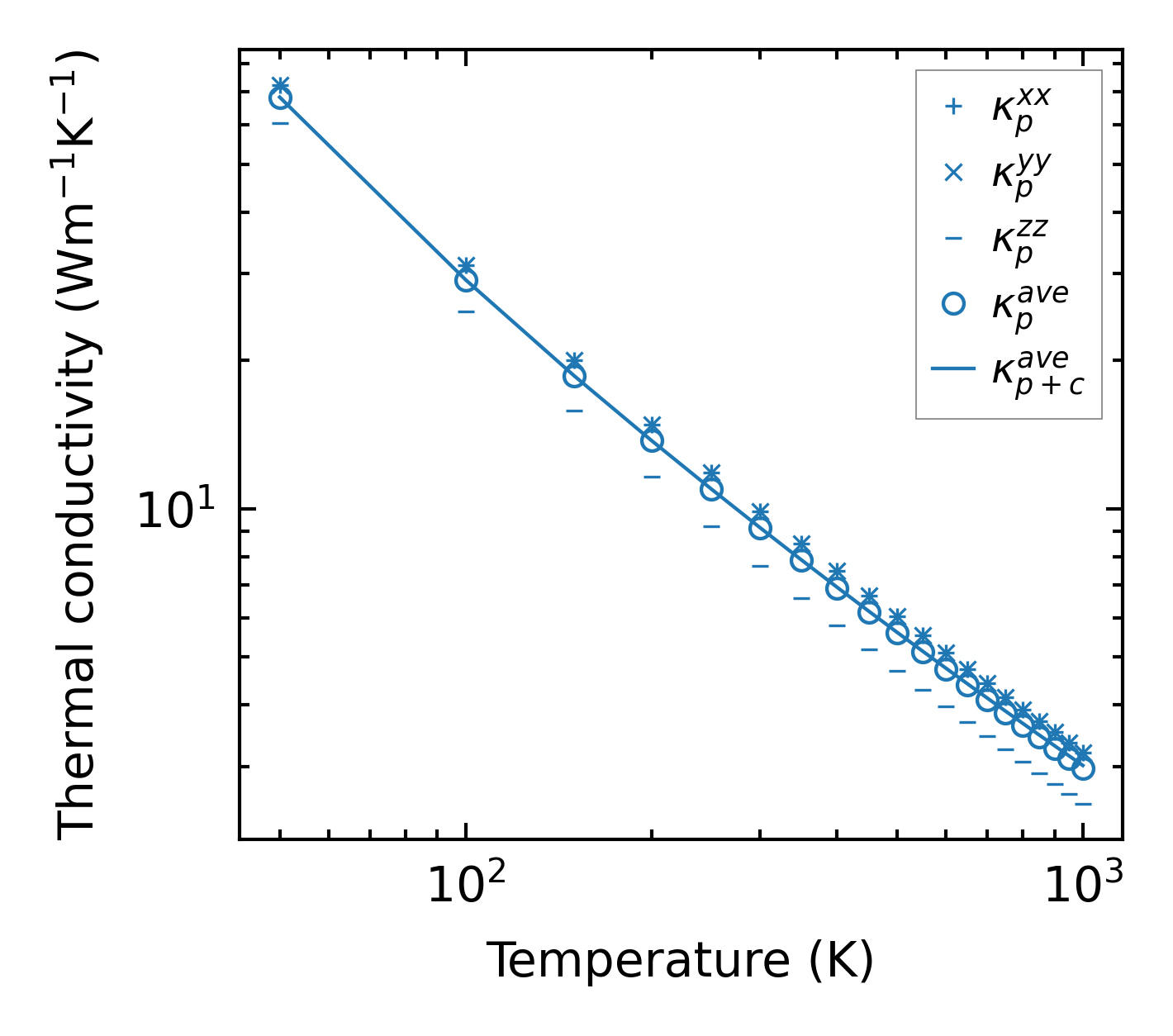
Thermal conductivity

3-phonon (LASSO) — q-mesh: 17x17x14, supercell: 3x3x3

../../_images/fig_kappa12620.png

(a) Temperature-dependent lattice thermal conductivity

../../_images/fig_kappa_vs_grain_size6779.png

(b) Peierls lattice thermal conductivity w.r.t grain size

Phonon lifetime and scattering rates

../../_images/fig_lifetime6635.png

(a) Phonon lifetime due to phonon-phonon scattering

../../_images/fig_scat_rates6634.png

(b) Phonon scattering rates

Cumulative and spectral thermal conductivity

../../_images/fig_cumu_frequency6635.png

(a) Spectral and cumulative thermal conductivity w.r.t frequency

../../_images/fig_cumu_mfp6634.png

(b) Spectral and cumulative thermal conductivity w.r.t MFP

Force constants

../../_images/fig_fc215077.png

(a) Force constants w.r.t atomic distance

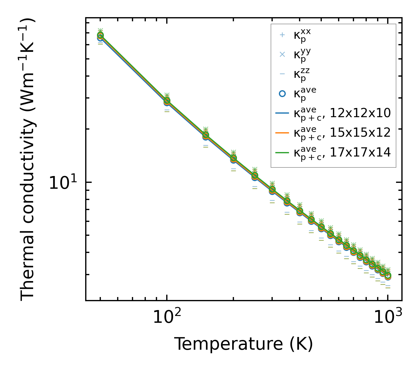
Summary

../../_images/fig_kappa12621.png

(a) Temperature-dependent lattice thermal conductivity

../../_images/fig_times25572.png

(b) Computation time