mp-1207080/TbHSe/anharm

Harmonic properties

../../_images/fig_bandos_pr15479.png

(a) Phonon dispersion with participation ratio and DOS

../../_images/fig_thermo15478.png

(b) Thermodynamic properties

Grüneisen parameters

../../_images/fig_gru_all6699.png

(a) Grüneisen parameters

../../_images/fig_gruneisen6699.png

(b) Phonon dispersion with Grüneisen parameters

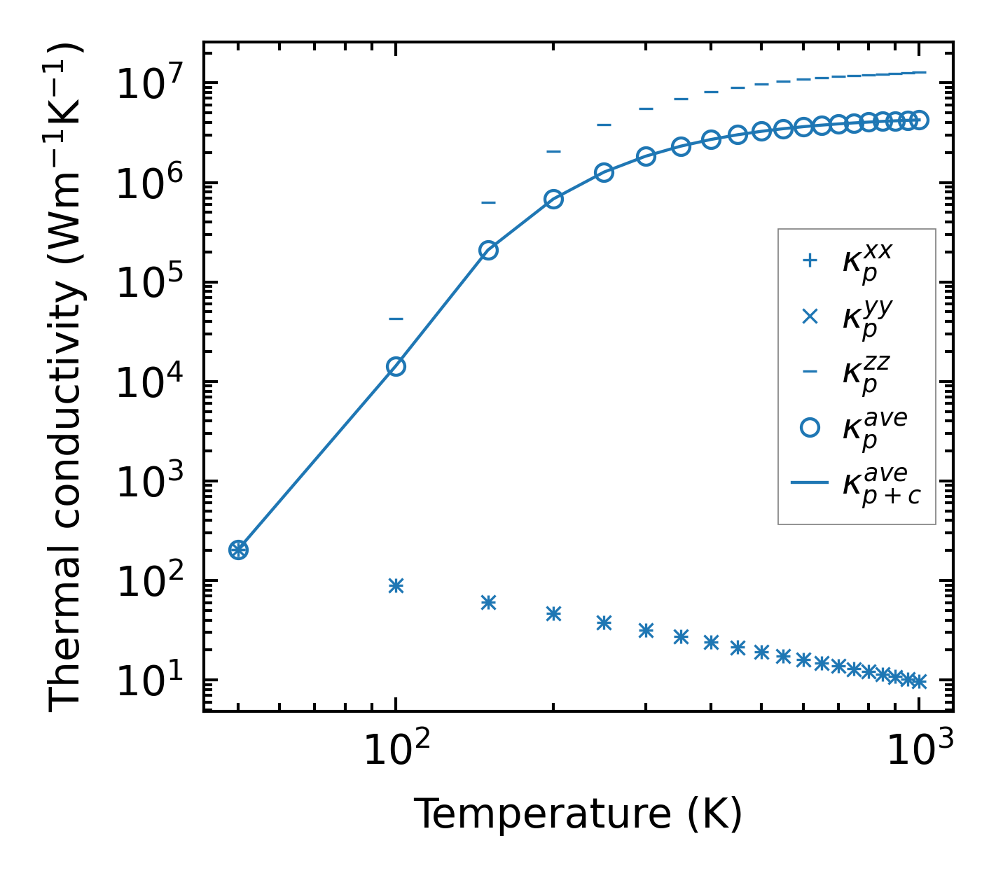
Thermal conductivity

3-phonon (LASSO) — q-mesh: 19x19x19, supercell: 4x4x3

../../_images/fig_kappa12616.png

(a) Temperature-dependent lattice thermal conductivity

../../_images/fig_kappa_vs_grain_size6777.png

(b) Peierls lattice thermal conductivity w.r.t grain size

Phonon lifetime and scattering rates

../../_images/fig_lifetime6633.png

(a) Phonon lifetime due to phonon-phonon scattering

../../_images/fig_scat_rates6632.png

(b) Phonon scattering rates

Cumulative and spectral thermal conductivity

../../_images/fig_cumu_frequency6633.png

(a) Spectral and cumulative thermal conductivity w.r.t frequency

../../_images/fig_cumu_mfp6632.png

(b) Spectral and cumulative thermal conductivity w.r.t MFP

Force constants

../../_images/fig_fc215075.png

(a) Force constants w.r.t atomic distance

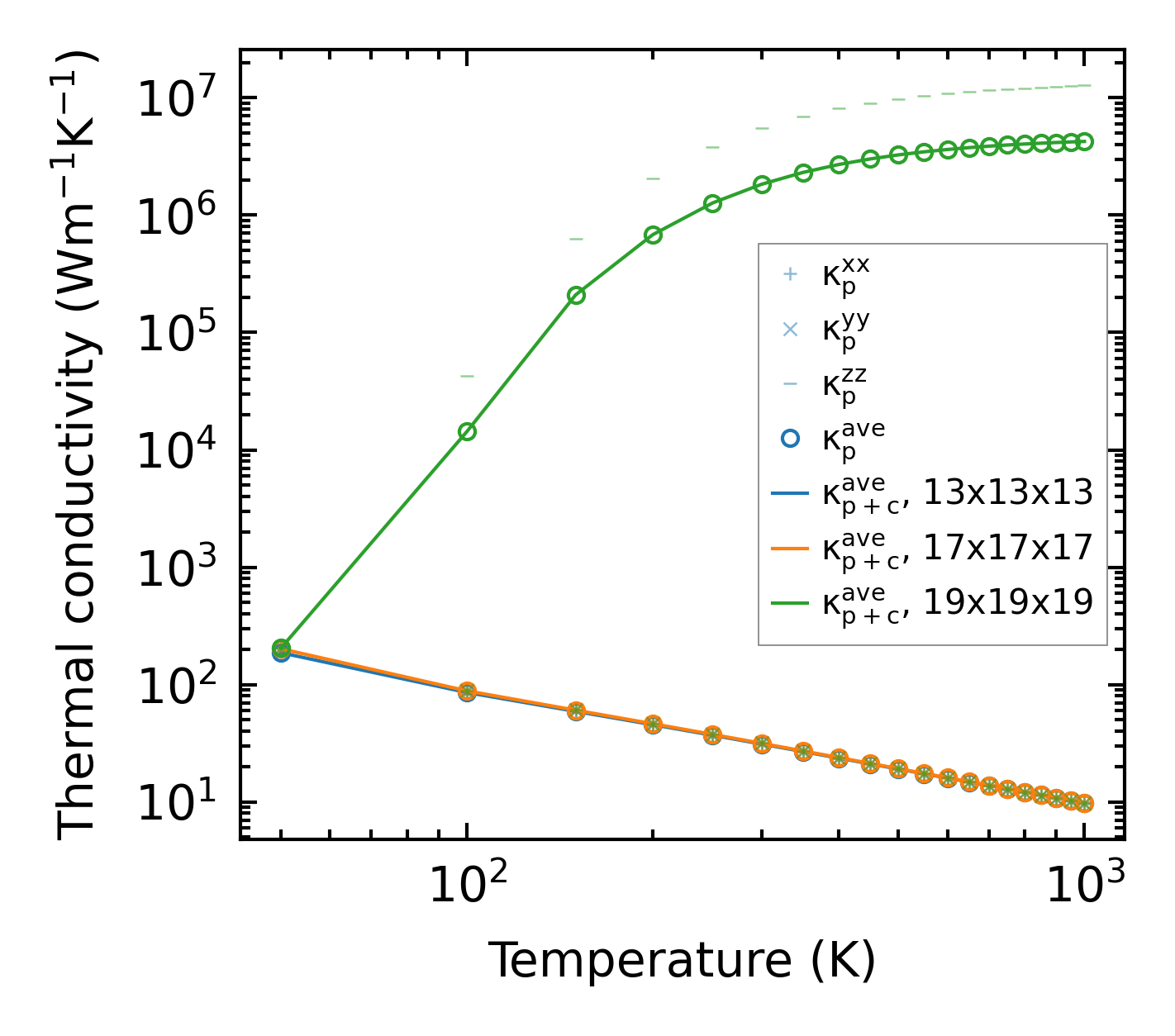
Summary

../../_images/fig_kappa12617.png

(a) Temperature-dependent lattice thermal conductivity

../../_images/fig_times25570.png

(b) Computation time