mp-1193675/B/anharm

Harmonic properties

../../_images/fig_bandos_pr15840.png

(a) Phonon dispersion with participation ratio and DOS

../../_images/fig_thermo15839.png

(b) Thermodynamic properties

Grüneisen parameters

../../_images/fig_gru_all6856.png

(a) Grüneisen parameters

../../_images/fig_gruneisen6856.png

(b) Phonon dispersion with Grüneisen parameters

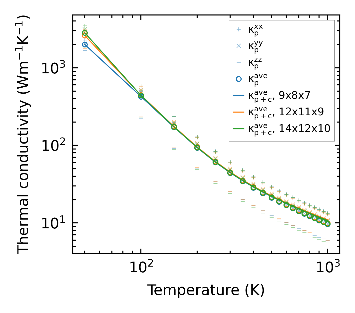
Thermal conductivity

3-phonon (LASSO) — q-mesh: 14x12x10, supercell: 2x2x1

../../_images/fig_kappa12912.png

(a) Temperature-dependent lattice thermal conductivity

../../_images/fig_kappa_vs_grain_size6936.png

(b) Peierls lattice thermal conductivity w.r.t grain size

Phonon lifetime and scattering rates

../../_images/fig_lifetime6790.png

(a) Phonon lifetime due to phonon-phonon scattering

../../_images/fig_scat_rates6789.png

(b) Phonon scattering rates

Cumulative and spectral thermal conductivity

../../_images/fig_cumu_frequency6790.png

(a) Spectral and cumulative thermal conductivity w.r.t frequency

../../_images/fig_cumu_mfp6789.png

(b) Spectral and cumulative thermal conductivity w.r.t MFP

Force constants

../../_images/fig_fc215435.png

(a) Force constants w.r.t atomic distance

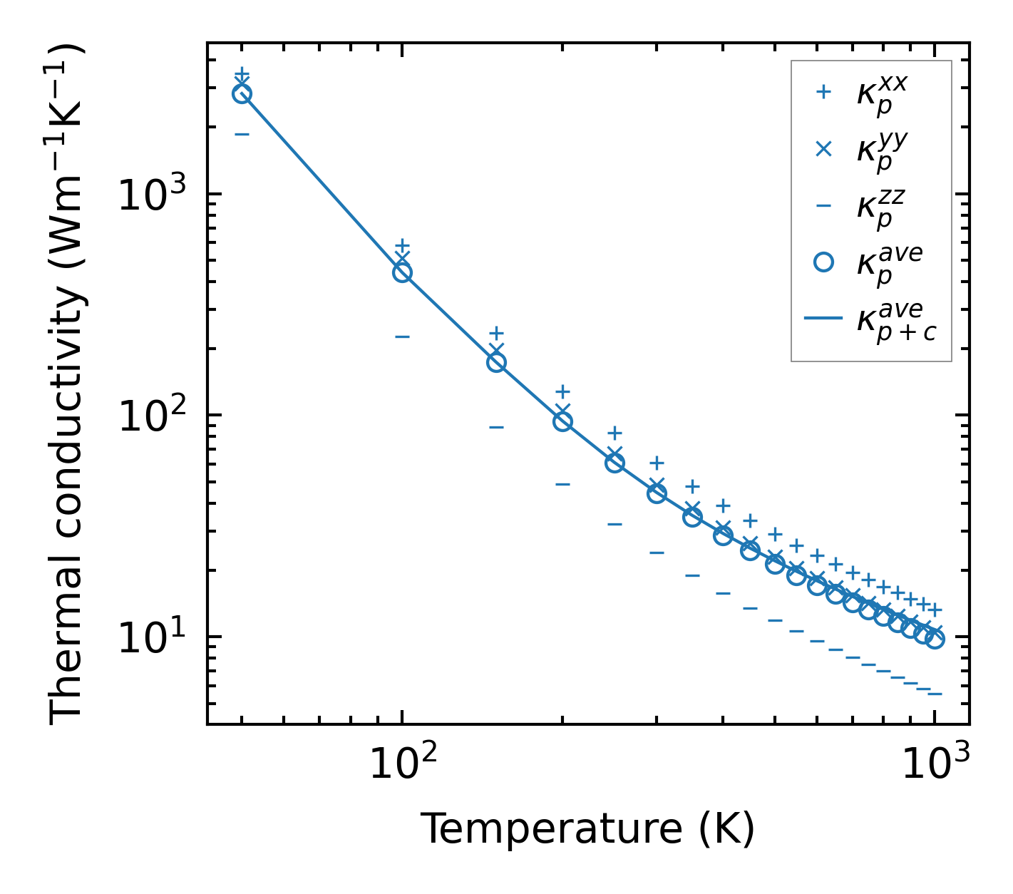
Summary

../../_images/fig_kappa12913.png

(a) Temperature-dependent lattice thermal conductivity

../../_images/fig_times26097.png

(b) Computation time