mp-1193616/K2PtC4N4Cl2/anharm

Harmonic properties

../../_images/fig_bandos_pr15837.png

(a) Phonon dispersion with participation ratio and DOS

../../_images/fig_thermo15836.png

(b) Thermodynamic properties

Grüneisen parameters

../../_images/fig_gru_all6854.png

(a) Grüneisen parameters

../../_images/fig_gruneisen6854.png

(b) Phonon dispersion with Grüneisen parameters

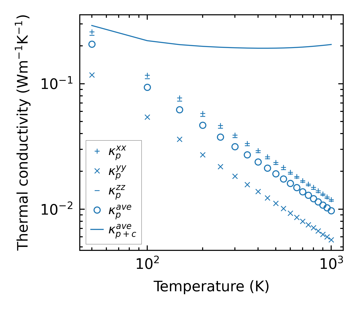
Thermal conductivity

3-phonon (LASSO) — q-mesh: 10x8x8, supercell: 2x1x2

../../_images/fig_kappa12908.png

(a) Temperature-dependent lattice thermal conductivity

../../_images/fig_kappa_vs_grain_size6934.png

(b) Peierls lattice thermal conductivity w.r.t grain size

Phonon lifetime and scattering rates

../../_images/fig_lifetime6788.png

(a) Phonon lifetime due to phonon-phonon scattering

../../_images/fig_scat_rates6787.png

(b) Phonon scattering rates

Cumulative and spectral thermal conductivity

../../_images/fig_cumu_frequency6788.png

(a) Spectral and cumulative thermal conductivity w.r.t frequency

../../_images/fig_cumu_mfp6787.png

(b) Spectral and cumulative thermal conductivity w.r.t MFP

Force constants

../../_images/fig_fc215432.png

(a) Force constants w.r.t atomic distance

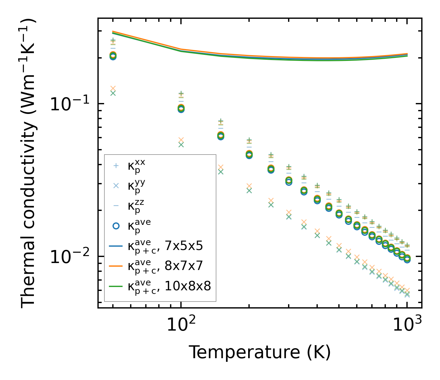
Summary

../../_images/fig_kappa12909.png

(a) Temperature-dependent lattice thermal conductivity

../../_images/fig_times26093.png

(b) Computation time