mp-1193131/Cs2PbN2Cl2O6/anharm

Harmonic properties

../../_images/fig_bandos_pr15826.png

(a) Phonon dispersion with participation ratio and DOS

../../_images/fig_thermo15825.png

(b) Thermodynamic properties

Grüneisen parameters

../../_images/fig_gru_all6850.png

(a) Grüneisen parameters

../../_images/fig_gruneisen6850.png

(b) Phonon dispersion with Grüneisen parameters

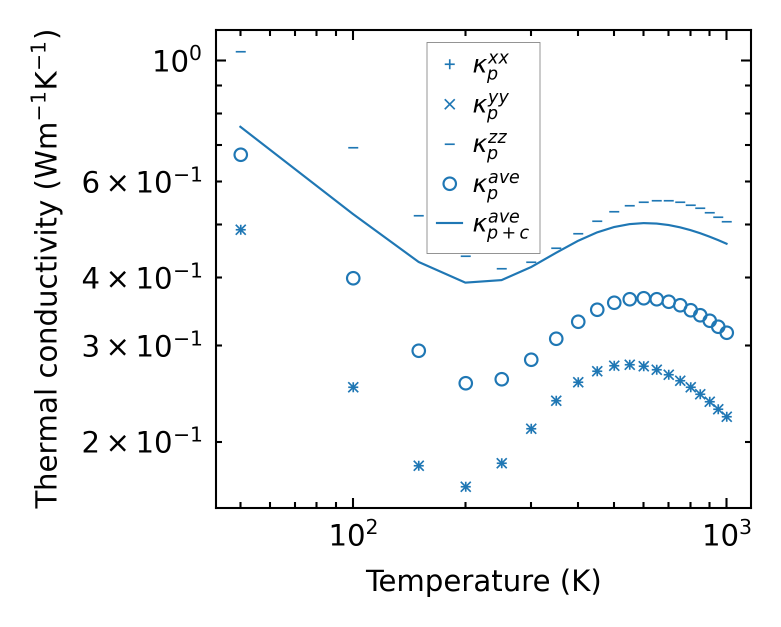
Thermal conductivity

3-phonon (LASSO) — q-mesh: 8x8x8, supercell: 1x1x1

../../_images/fig_kappa12900.png

(a) Temperature-dependent lattice thermal conductivity

../../_images/fig_kappa_vs_grain_size6930.png

(b) Peierls lattice thermal conductivity w.r.t grain size

Phonon lifetime and scattering rates

../../_images/fig_lifetime6784.png

(a) Phonon lifetime due to phonon-phonon scattering

../../_images/fig_scat_rates6783.png

(b) Phonon scattering rates

Cumulative and spectral thermal conductivity

../../_images/fig_cumu_frequency6784.png

(a) Spectral and cumulative thermal conductivity w.r.t frequency

../../_images/fig_cumu_mfp6783.png

(b) Spectral and cumulative thermal conductivity w.r.t MFP

Force constants

../../_images/fig_fc215421.png

(a) Force constants w.r.t atomic distance

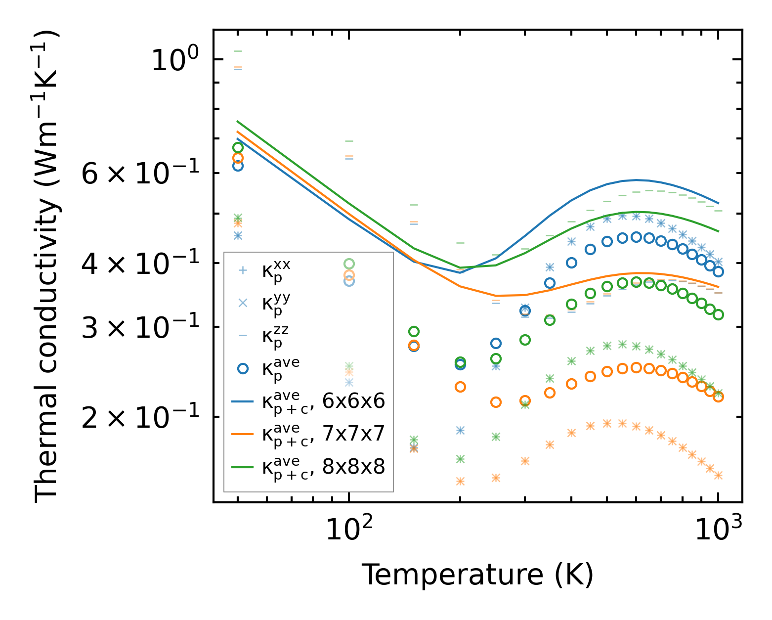
Summary

../../_images/fig_kappa12901.png

(a) Temperature-dependent lattice thermal conductivity

../../_images/fig_times26069.png

(b) Computation time