mp-1103664/BaScCuS3/anharm

Harmonic properties

../../_images/fig_bandos_pr16589.png

(a) Phonon dispersion with participation ratio and DOS

../../_images/fig_thermo16588.png

(b) Thermodynamic properties

Grüneisen parameters

../../_images/fig_gru_all7200.png

(a) Grüneisen parameters

../../_images/fig_gruneisen7200.png

(b) Phonon dispersion with Grüneisen parameters

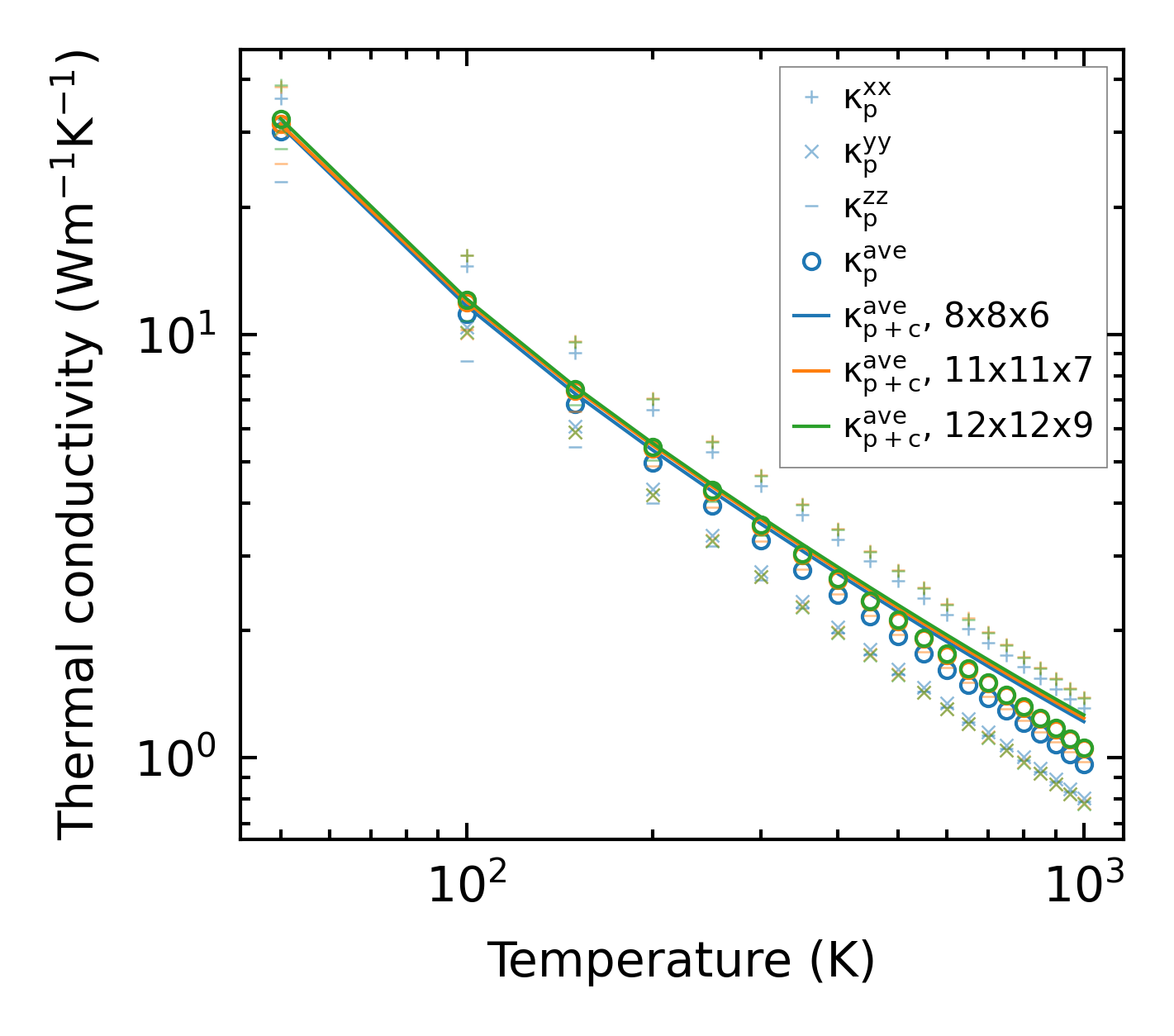
Thermal conductivity

3-phonon (LASSO) — q-mesh: 12x12x9, supercell: 3x1x2

../../_images/fig_kappa13578.png

(a) Temperature-dependent lattice thermal conductivity

../../_images/fig_kappa_vs_grain_size7286.png

(b) Peierls lattice thermal conductivity w.r.t grain size

Phonon lifetime and scattering rates

../../_images/fig_lifetime7134.png

(a) Phonon lifetime due to phonon-phonon scattering

../../_images/fig_scat_rates7133.png

(b) Phonon scattering rates

Cumulative and spectral thermal conductivity

../../_images/fig_cumu_frequency7134.png

(a) Spectral and cumulative thermal conductivity w.r.t frequency

../../_images/fig_cumu_mfp7133.png

(b) Spectral and cumulative thermal conductivity w.r.t MFP

Force constants

../../_images/fig_fc216163.png

(a) Force constants w.r.t atomic distance

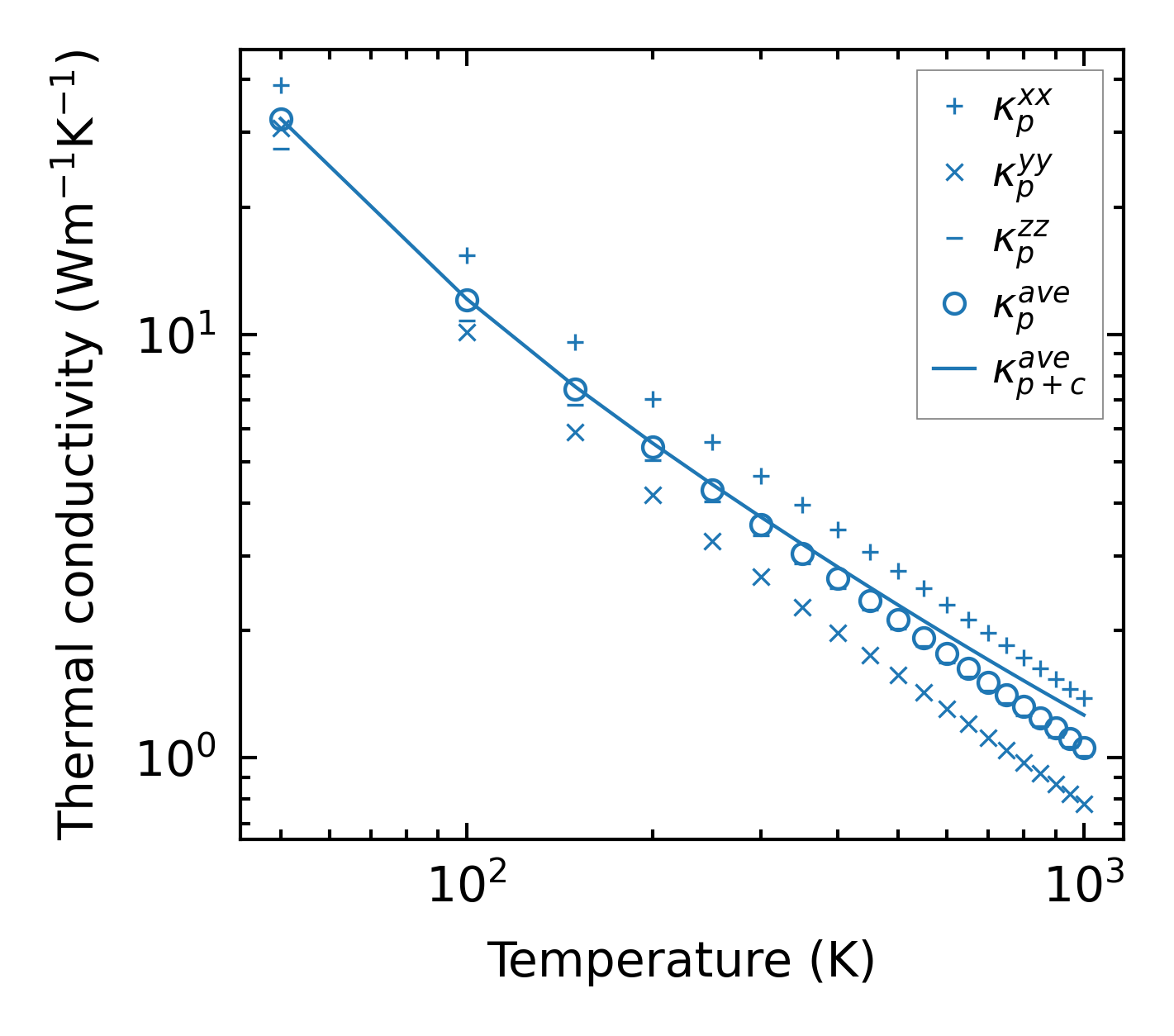
Summary

../../_images/fig_kappa13579.png

(a) Temperature-dependent lattice thermal conductivity

../../_images/fig_times27137.png

(b) Computation time