mp-1103169/NaAgO/anharm

Harmonic properties

../../_images/fig_bandos_pr16563.png

(a) Phonon dispersion with participation ratio and DOS

../../_images/fig_thermo16562.png

(b) Thermodynamic properties

Grüneisen parameters

../../_images/fig_gru_all7186.png

(a) Grüneisen parameters

../../_images/fig_gruneisen7186.png

(b) Phonon dispersion with Grüneisen parameters

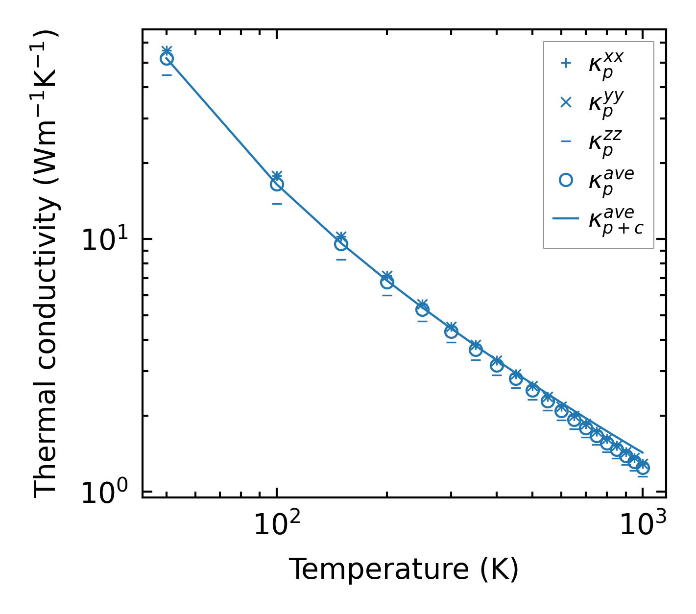
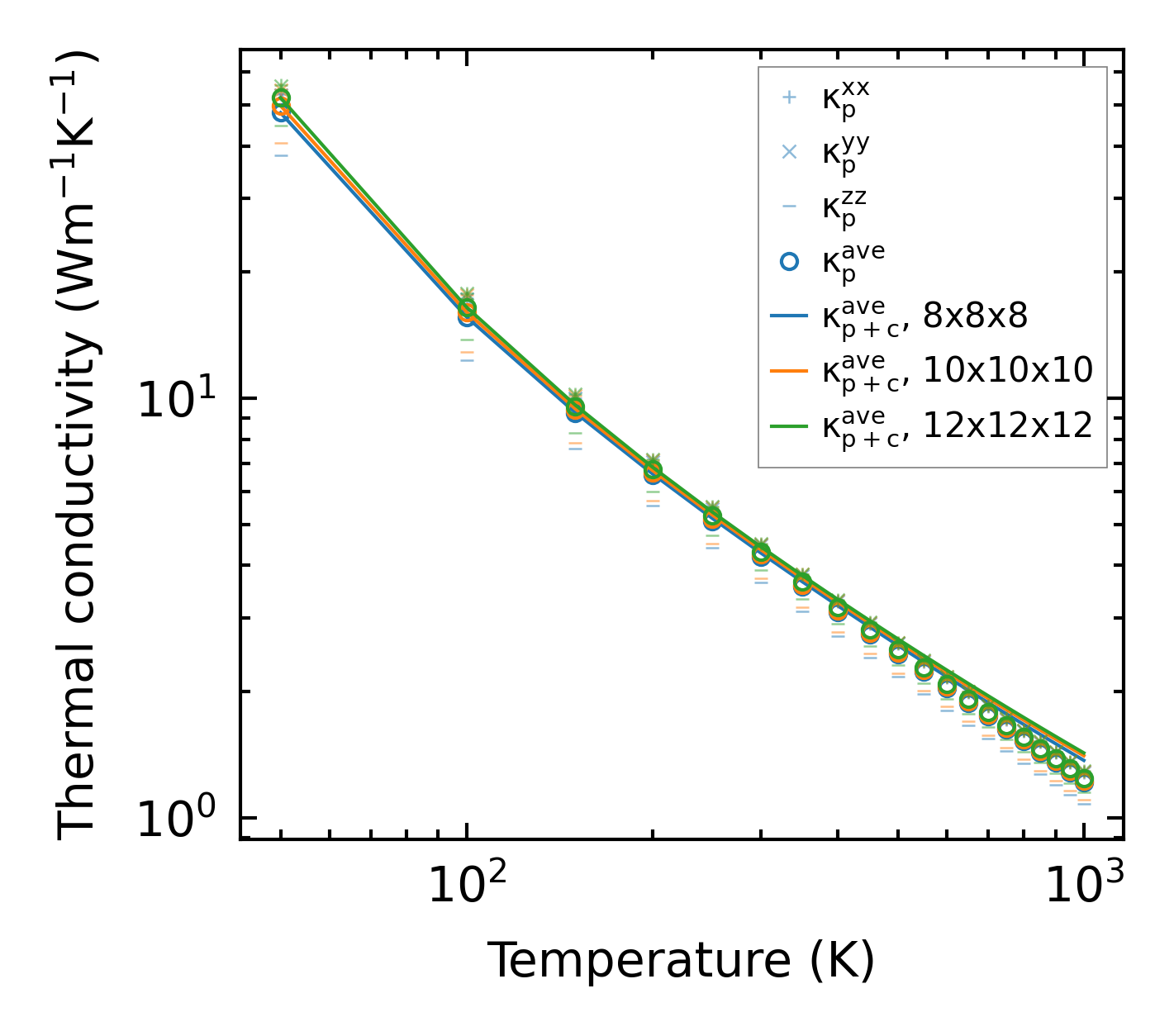
Thermal conductivity

3-phonon (LASSO) — q-mesh: 12x12x12, supercell: 1x1x3

../../_images/fig_kappa13550.png

(a) Temperature-dependent lattice thermal conductivity

../../_images/fig_kappa_vs_grain_size7272.png

(b) Peierls lattice thermal conductivity w.r.t grain size

Phonon lifetime and scattering rates

../../_images/fig_lifetime7120.png

(a) Phonon lifetime due to phonon-phonon scattering

../../_images/fig_scat_rates7119.png

(b) Phonon scattering rates

Cumulative and spectral thermal conductivity

../../_images/fig_cumu_frequency7120.png

(a) Spectral and cumulative thermal conductivity w.r.t frequency

../../_images/fig_cumu_mfp7119.png

(b) Spectral and cumulative thermal conductivity w.r.t MFP

Force constants

../../_images/fig_fc216138.png

(a) Force constants w.r.t atomic distance

Summary

../../_images/fig_kappa13551.png

(a) Temperature-dependent lattice thermal conductivity

../../_images/fig_times27106.png

(b) Computation time