mp-1103194/SbSBr/anharm

Harmonic properties

../../_images/fig_bandos_pr16565.png

(a) Phonon dispersion with participation ratio and DOS

../../_images/fig_thermo16564.png

(b) Thermodynamic properties

Grüneisen parameters

../../_images/fig_gru_all7188.png

(a) Grüneisen parameters

../../_images/fig_gruneisen7188.png

(b) Phonon dispersion with Grüneisen parameters

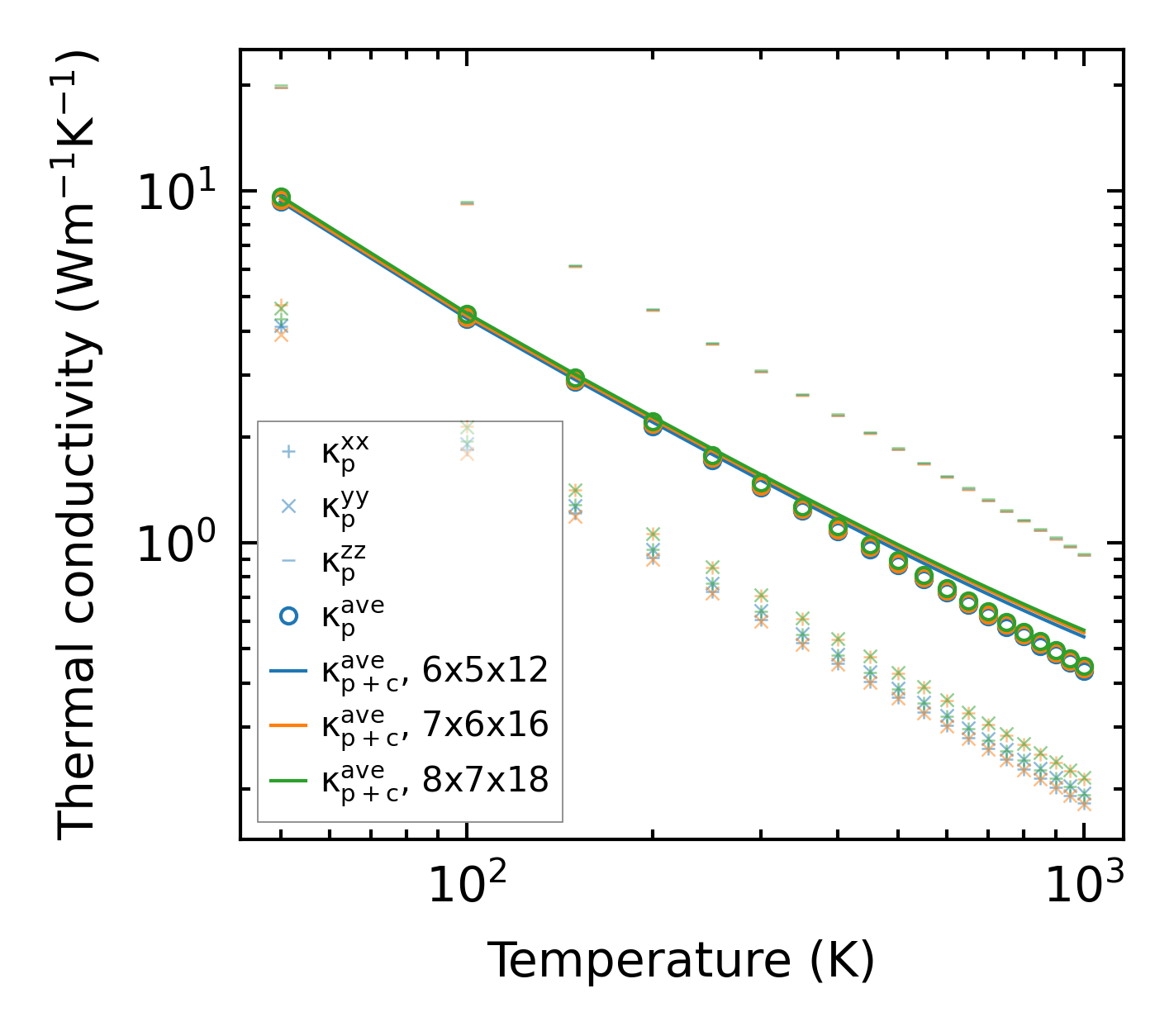
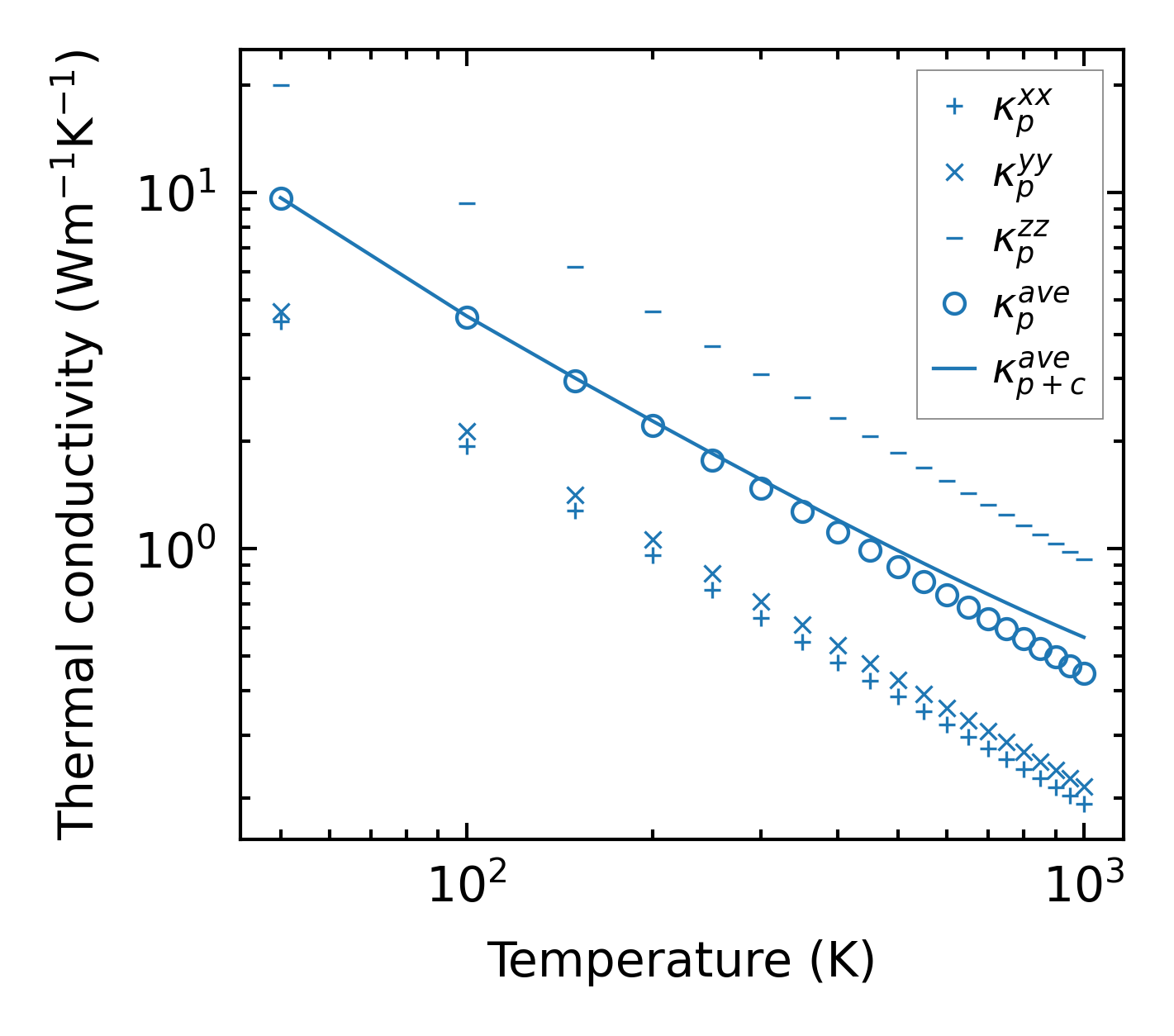
Thermal conductivity

3-phonon (LASSO) — q-mesh: 8x7x18, supercell: 2x2x3

../../_images/fig_kappa13554.png

(a) Temperature-dependent lattice thermal conductivity

../../_images/fig_kappa_vs_grain_size7274.png

(b) Peierls lattice thermal conductivity w.r.t grain size

Phonon lifetime and scattering rates

../../_images/fig_lifetime7122.png

(a) Phonon lifetime due to phonon-phonon scattering

../../_images/fig_scat_rates7121.png

(b) Phonon scattering rates

Cumulative and spectral thermal conductivity

../../_images/fig_cumu_frequency7122.png

(a) Spectral and cumulative thermal conductivity w.r.t frequency

../../_images/fig_cumu_mfp7121.png

(b) Spectral and cumulative thermal conductivity w.r.t MFP

Force constants

../../_images/fig_fc216140.png

(a) Force constants w.r.t atomic distance

Summary

../../_images/fig_kappa13555.png

(a) Temperature-dependent lattice thermal conductivity

../../_images/fig_times27108.png

(b) Computation time