mp-1009894/ZrC/anharm

Harmonic properties

../../_images/fig_bandos_pr308.png

(a) Phonon dispersion with participation ratio and DOS

../../_images/fig_thermo308.png

(b) Thermodynamic properties

Grüneisen parameters

../../_images/fig_gru_all212.png

(a) Grüneisen parameters

../../_images/fig_gruneisen212.png

(b) Phonon dispersion with Grüneisen parameters

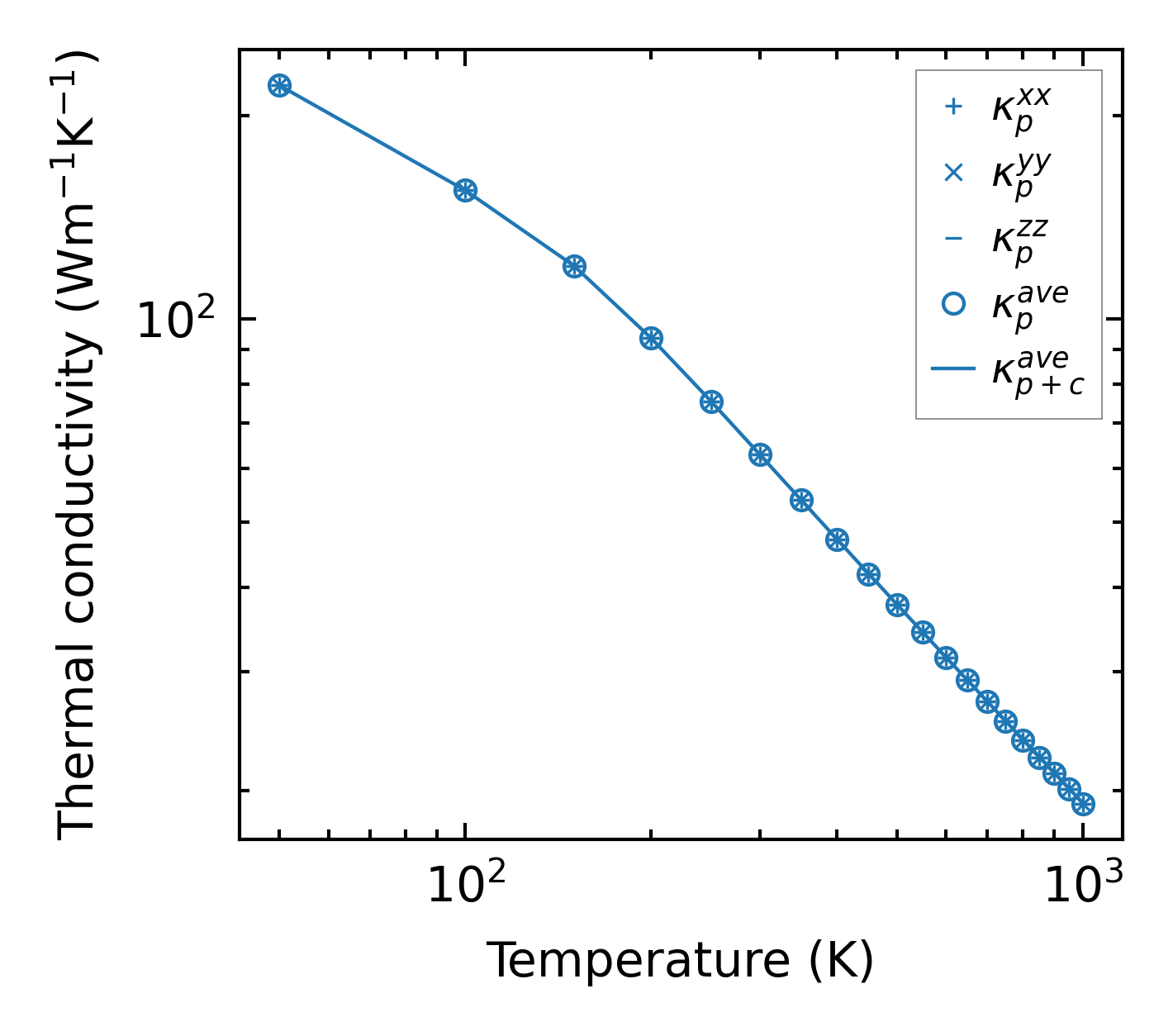
Thermal conductivity

3-phonon — q-mesh: 22x22x22, supercell: 2x2x2

../../_images/fig_kappa416.png

(a) Temperature-dependent lattice thermal conductivity

../../_images/fig_kappa_vs_grain_size215.png

(b) Peierls lattice thermal conductivity w.r.t grain size

Phonon lifetime and scattering rates

../../_images/fig_lifetime211.png

(a) Phonon lifetime due to phonon-phonon scattering

../../_images/fig_scat_rates210.png

(b) Phonon scattering rates

Cumulative and spectral thermal conductivity

../../_images/fig_cumu_frequency211.png

(a) Spectral and cumulative thermal conductivity w.r.t frequency

../../_images/fig_cumu_mfp211.png

(b) Spectral and cumulative thermal conductivity w.r.t MFP

Force constants

../../_images/fig_fc350.png

(a) Force constants w.r.t atomic distance

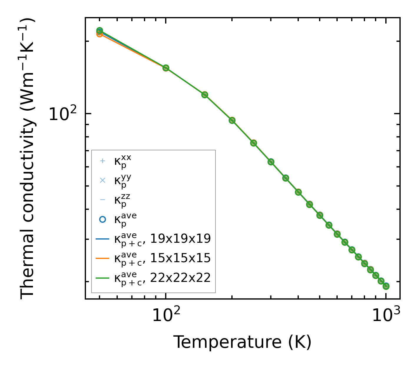
Summary

../../_images/fig_kappa417.png

(a) Temperature-dependent lattice thermal conductivity

../../_images/fig_times495.png

(b) Computation time