mp-1009755/Ca2Ge/anharm

Harmonic properties

../../_images/fig_bandos_pr302.png

(a) Phonon dispersion with participation ratio and DOS

../../_images/fig_thermo302.png

(b) Thermodynamic properties

Grüneisen parameters

../../_images/fig_gru_all207.png

(a) Grüneisen parameters

../../_images/fig_gruneisen207.png

(b) Phonon dispersion with Grüneisen parameters

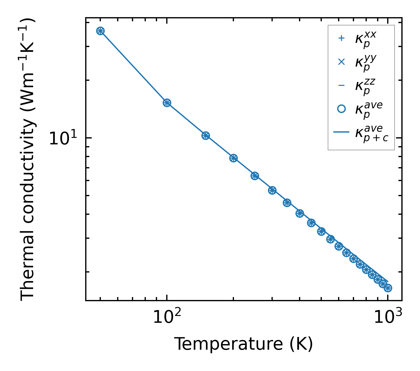
Thermal conductivity

3-phonon — q-mesh: 16x16x16, supercell: 2x2x2

../../_images/fig_kappa406.png

(a) Temperature-dependent lattice thermal conductivity

../../_images/fig_kappa_vs_grain_size210.png

(b) Peierls lattice thermal conductivity w.r.t grain size

Phonon lifetime and scattering rates

../../_images/fig_lifetime206.png

(a) Phonon lifetime due to phonon-phonon scattering

../../_images/fig_scat_rates205.png

(b) Phonon scattering rates

Cumulative and spectral thermal conductivity

../../_images/fig_cumu_frequency206.png

(a) Spectral and cumulative thermal conductivity w.r.t frequency

../../_images/fig_cumu_mfp206.png

(b) Spectral and cumulative thermal conductivity w.r.t MFP

Force constants

../../_images/fig_fc345.png

(a) Force constants w.r.t atomic distance

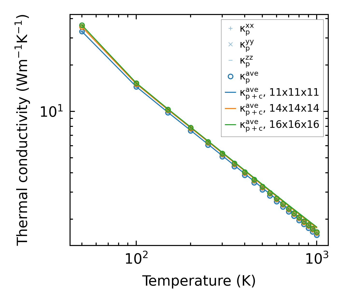
Summary

../../_images/fig_kappa407.png

(a) Temperature-dependent lattice thermal conductivity

../../_images/fig_times487.png

(b) Computation time