mp-1009129/MgO/anharm

Harmonic properties

../../_images/fig_bandos_pr296.png

(a) Phonon dispersion with participation ratio and DOS

../../_images/fig_thermo296.png

(b) Thermodynamic properties

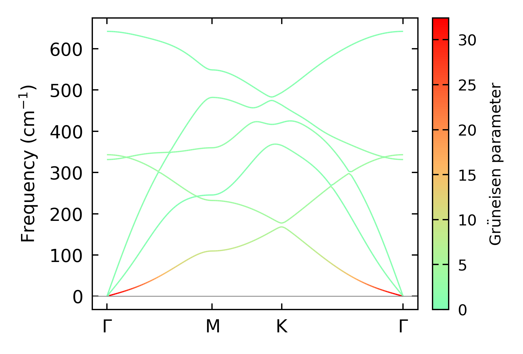
Grüneisen parameters

../../_images/fig_gru_all201.png

(a) Grüneisen parameters

../../_images/fig_gruneisen201.png

(b) Phonon dispersion with Grüneisen parameters

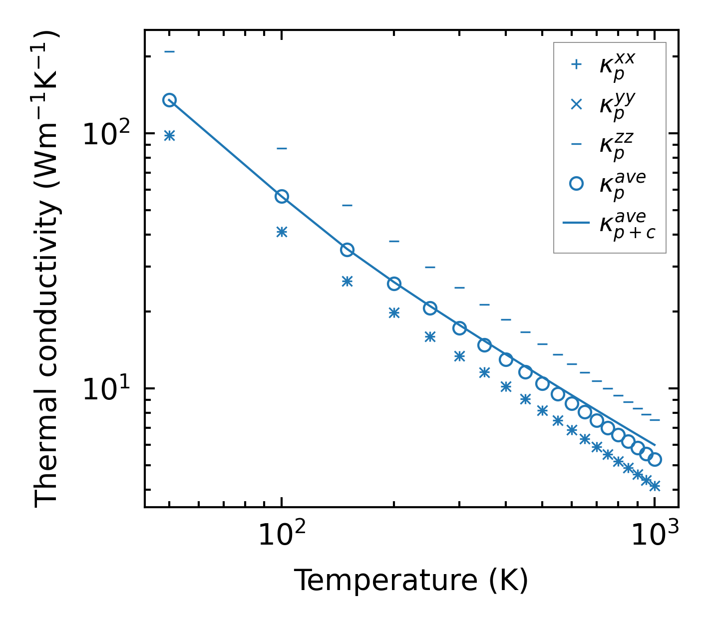
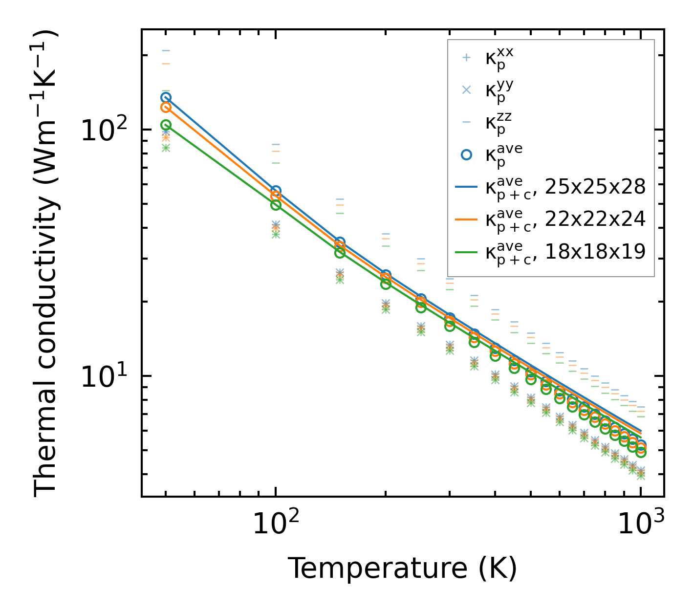
Thermal conductivity

3-phonon (LASSO) — q-mesh: 25x25x28, supercell: 4x4x4

../../_images/fig_kappa394.png

(a) Temperature-dependent lattice thermal conductivity

../../_images/fig_kappa_vs_grain_size204.png

(b) Peierls lattice thermal conductivity w.r.t grain size

Phonon lifetime and scattering rates

../../_images/fig_lifetime200.png

(a) Phonon lifetime due to phonon-phonon scattering

../../_images/fig_scat_rates199.png

(b) Phonon scattering rates

Cumulative and spectral thermal conductivity

../../_images/fig_cumu_frequency200.png

(a) Spectral and cumulative thermal conductivity w.r.t frequency

../../_images/fig_cumu_mfp200.png

(b) Spectral and cumulative thermal conductivity w.r.t MFP

Force constants

../../_images/fig_fc2256.png

(a) Force constants w.r.t atomic distance

Summary

../../_images/fig_kappa395.png

(a) Temperature-dependent lattice thermal conductivity

../../_images/fig_times477.png

(b) Computation time