mp-1009750/ScN/anharm

Harmonic properties

../../_images/fig_bandos_pr301.png

(a) Phonon dispersion with participation ratio and DOS

../../_images/fig_thermo301.png

(b) Thermodynamic properties

Grüneisen parameters

../../_images/fig_gru_all206.png

(a) Grüneisen parameters

../../_images/fig_gruneisen206.png

(b) Phonon dispersion with Grüneisen parameters

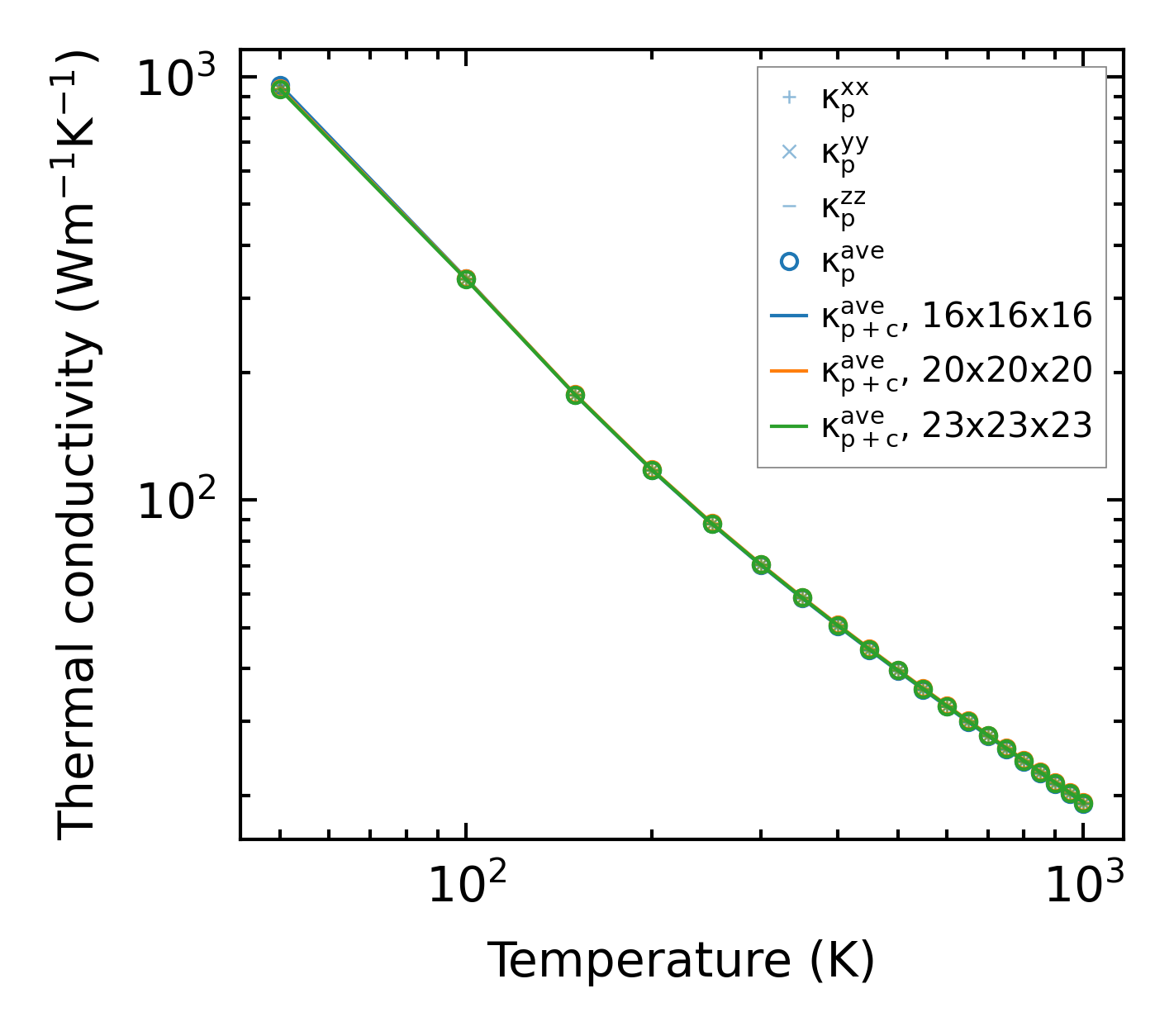
Thermal conductivity

3-phonon — q-mesh: 23x23x23, supercell: 2x2x2

../../_images/fig_kappa404.png

(a) Temperature-dependent lattice thermal conductivity

../../_images/fig_kappa_vs_grain_size209.png

(b) Peierls lattice thermal conductivity w.r.t grain size

Phonon lifetime and scattering rates

../../_images/fig_lifetime205.png

(a) Phonon lifetime due to phonon-phonon scattering

../../_images/fig_scat_rates204.png

(b) Phonon scattering rates

Cumulative and spectral thermal conductivity

../../_images/fig_cumu_frequency205.png

(a) Spectral and cumulative thermal conductivity w.r.t frequency

../../_images/fig_cumu_mfp205.png

(b) Spectral and cumulative thermal conductivity w.r.t MFP

Force constants

../../_images/fig_fc344.png

(a) Force constants w.r.t atomic distance

Summary

../../_images/fig_kappa405.png

(a) Temperature-dependent lattice thermal conductivity

../../_images/fig_times486.png

(b) Computation time