mp-996987/LiCuO2/anharm

Harmonic properties

../../_images/fig_bandos_pr916.png

(a) Phonon dispersion with participation ratio and DOS

../../_images/fig_thermo916.png

(b) Thermodynamic properties

Grüneisen parameters

../../_images/fig_gru_all564.png

(a) Grüneisen parameters

../../_images/fig_gruneisen564.png

(b) Phonon dispersion with Grüneisen parameters

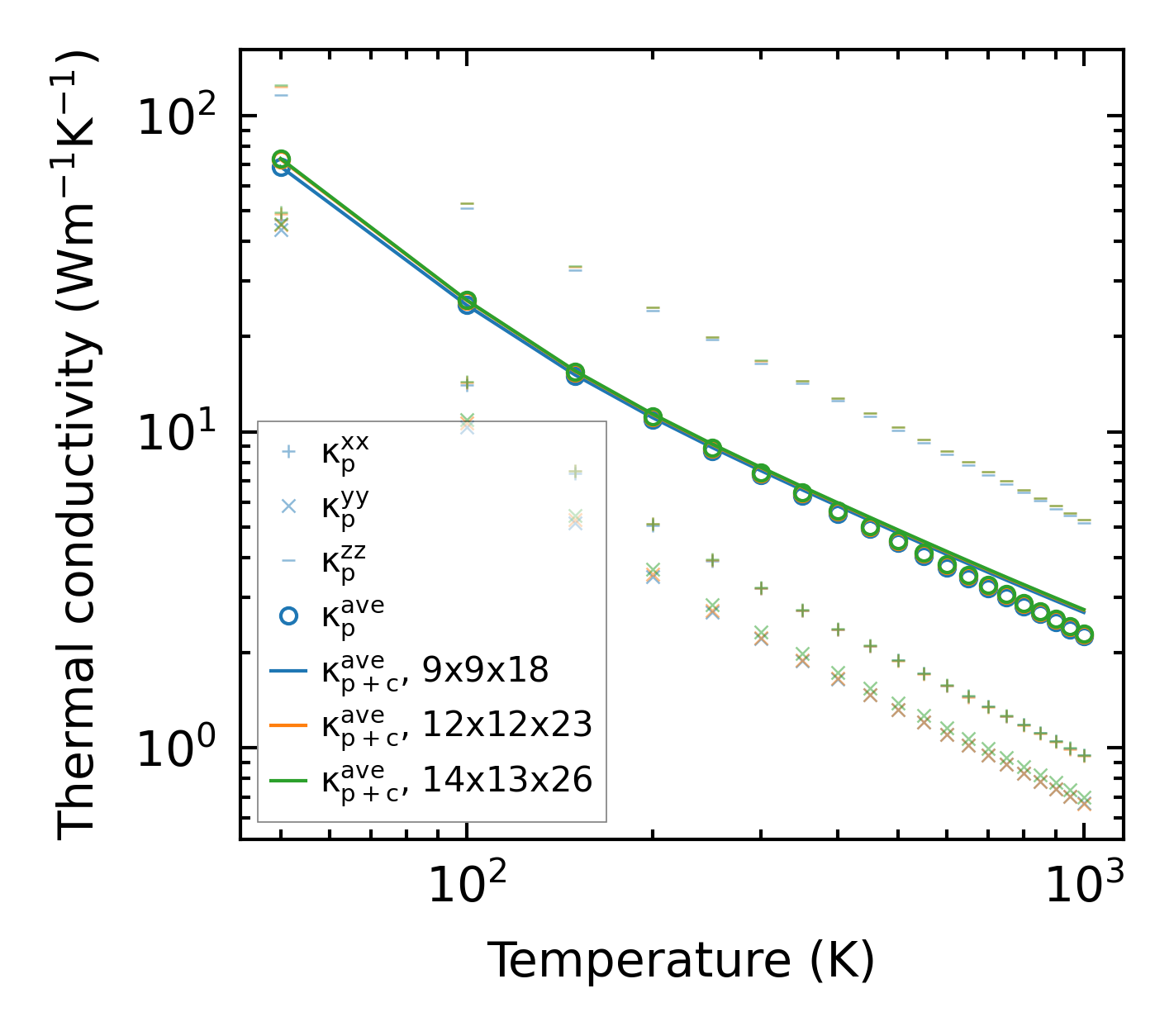
Thermal conductivity

3-phonon (LASSO) — q-mesh: 14x13x26, supercell: 2x2x4

../../_images/fig_kappa1097.png

(a) Temperature-dependent lattice thermal conductivity

../../_images/fig_kappa_vs_grain_size571.png

(b) Peierls lattice thermal conductivity w.r.t grain size

Phonon lifetime and scattering rates

../../_images/fig_lifetime562.png

(a) Phonon lifetime due to phonon-phonon scattering

../../_images/fig_scat_rates561.png

(b) Phonon scattering rates

Cumulative and spectral thermal conductivity

../../_images/fig_cumu_frequency562.png

(a) Spectral and cumulative thermal conductivity w.r.t frequency

../../_images/fig_cumu_mfp562.png

(b) Spectral and cumulative thermal conductivity w.r.t MFP

Force constants

../../_images/fig_fc2807.png

(a) Force constants w.r.t atomic distance

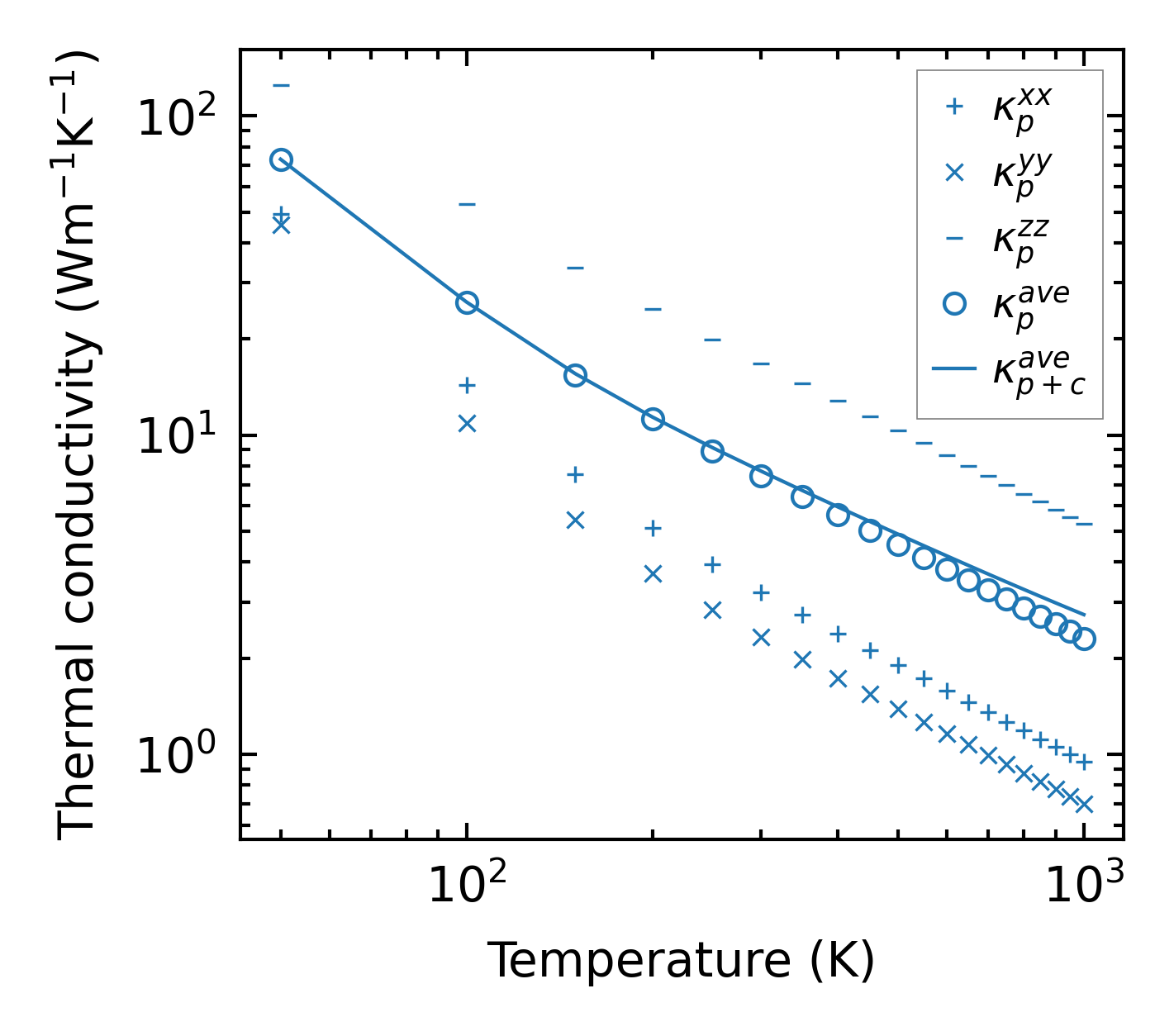
Summary

../../_images/fig_kappa1098.png

(a) Temperature-dependent lattice thermal conductivity

../../_images/fig_times1368.png

(b) Computation time