mp-996945/Cs2TlInH6/anharm

Harmonic properties

../../_images/fig_bandos_pr901.png

(a) Phonon dispersion with participation ratio and DOS

../../_images/fig_thermo901.png

(b) Thermodynamic properties

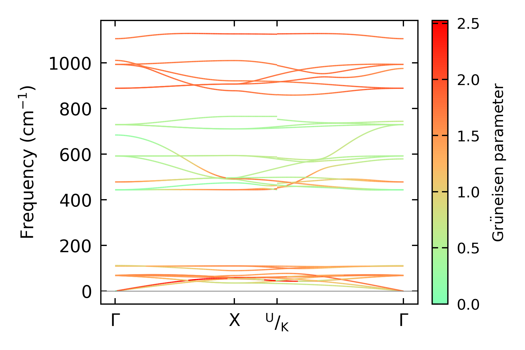
Grüneisen parameters

../../_images/fig_gru_all558.png

(a) Grüneisen parameters

../../_images/fig_gruneisen558.png

(b) Phonon dispersion with Grüneisen parameters

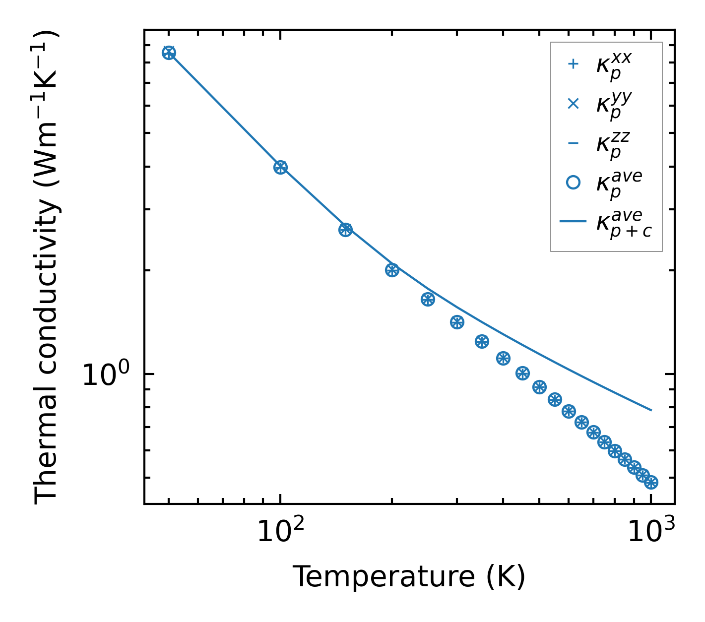
Thermal conductivity

3-phonon — q-mesh: 13x13x13, supercell: 1x1x1

../../_images/fig_kappa1087.png

(a) Temperature-dependent lattice thermal conductivity

../../_images/fig_kappa_vs_grain_size565.png

(b) Peierls lattice thermal conductivity w.r.t grain size

Phonon lifetime and scattering rates

../../_images/fig_lifetime556.png

(a) Phonon lifetime due to phonon-phonon scattering

../../_images/fig_scat_rates555.png

(b) Phonon scattering rates

Cumulative and spectral thermal conductivity

../../_images/fig_cumu_frequency556.png

(a) Spectral and cumulative thermal conductivity w.r.t frequency

../../_images/fig_cumu_mfp556.png

(b) Spectral and cumulative thermal conductivity w.r.t MFP

Force constants

../../_images/fig_fc3106.png

(a) Force constants w.r.t atomic distance

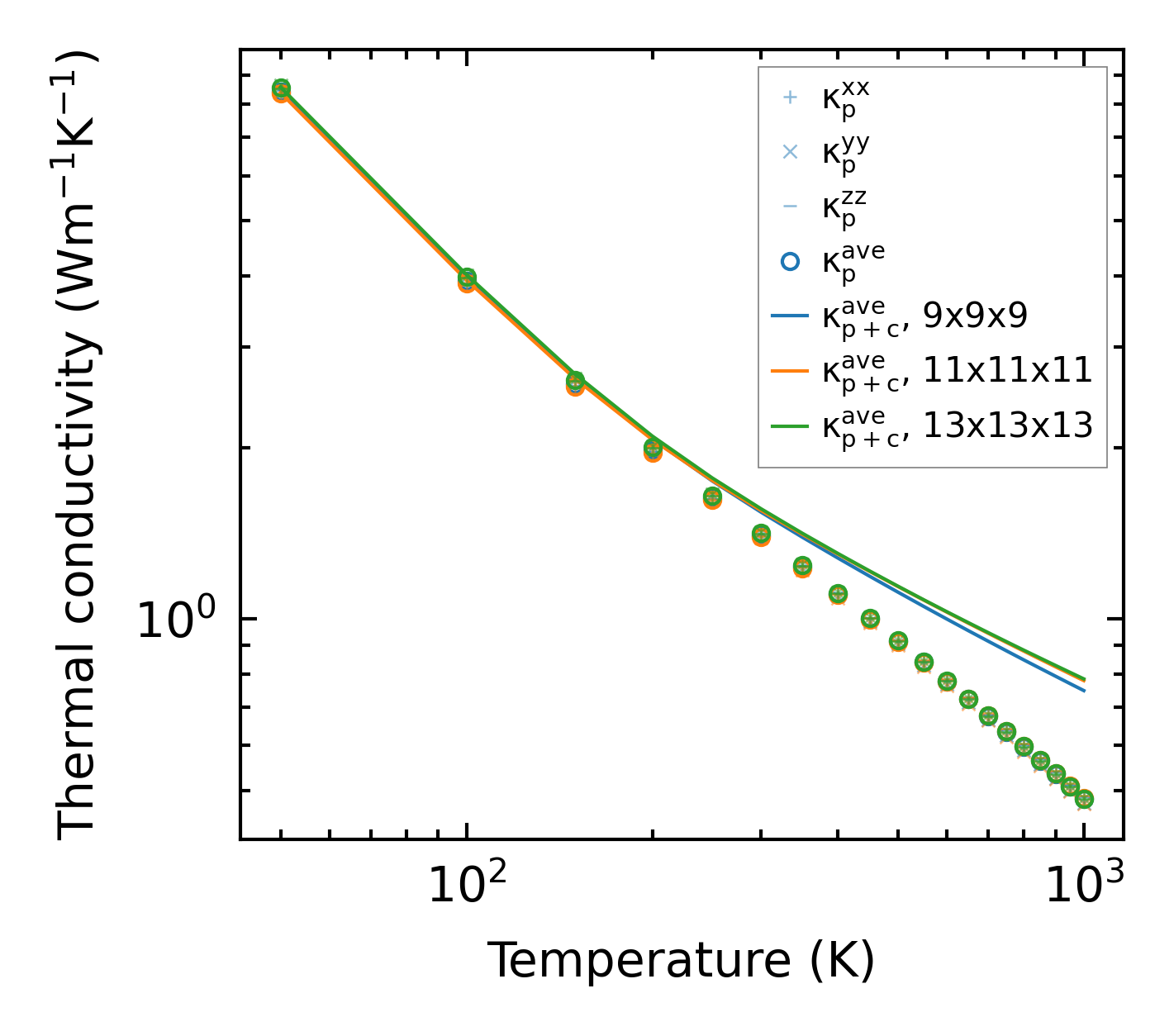
Summary

../../_images/fig_kappa1088.png

(a) Temperature-dependent lattice thermal conductivity

../../_images/fig_times1339.png

(b) Computation time