mp-996966/KAgO2/anharm

Harmonic properties

../../_images/fig_bandos_pr911.png

(a) Phonon dispersion with participation ratio and DOS

../../_images/fig_thermo911.png

(b) Thermodynamic properties

Grüneisen parameters

../../_images/fig_gru_all561.png

(a) Grüneisen parameters

../../_images/fig_gruneisen561.png

(b) Phonon dispersion with Grüneisen parameters

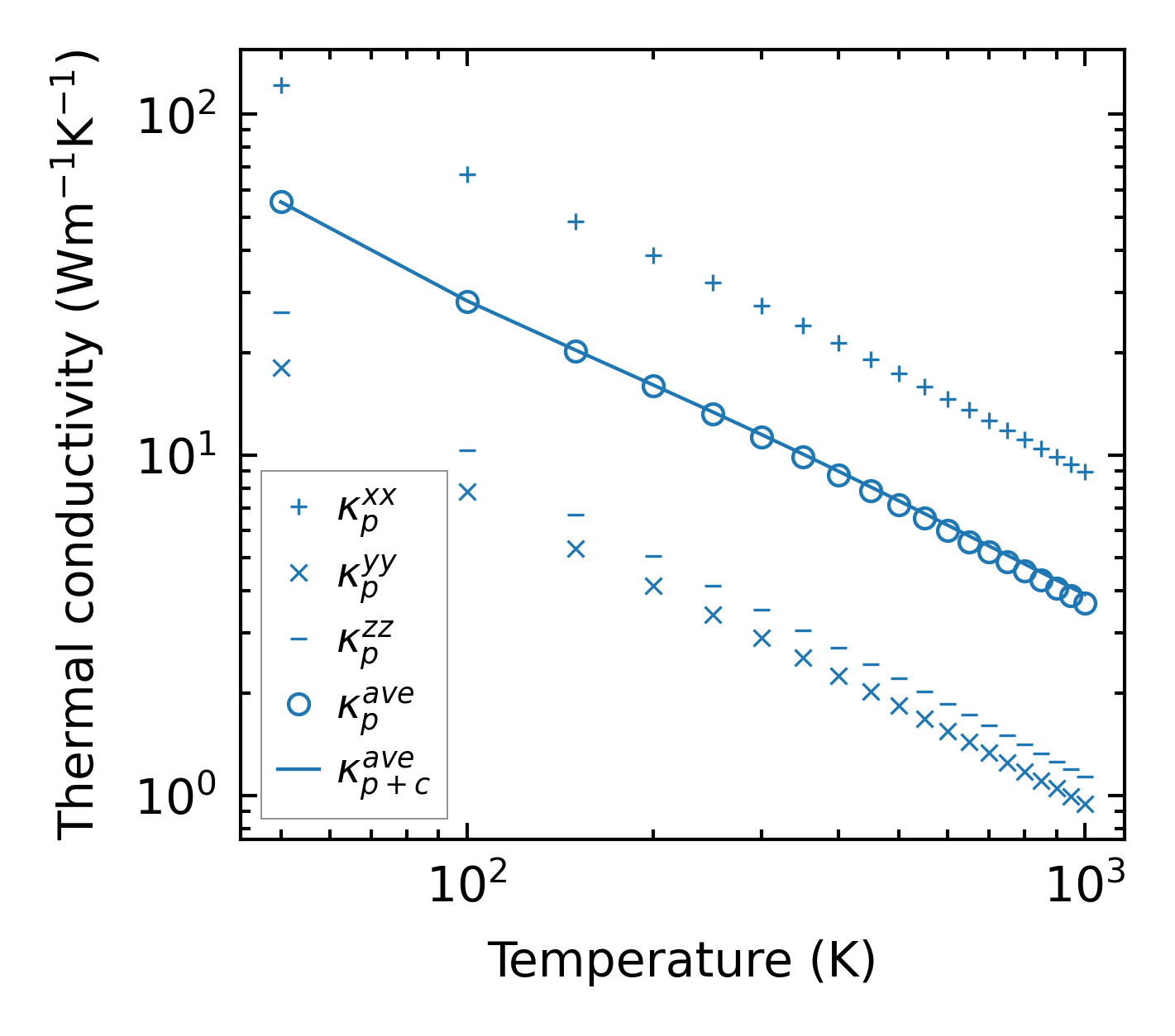
Thermal conductivity

3-phonon (LASSO) — q-mesh: 24x20x12, supercell: 4x4x2

../../_images/fig_kappa1093.png

(a) Temperature-dependent lattice thermal conductivity

../../_images/fig_kappa_vs_grain_size568.png

(b) Peierls lattice thermal conductivity w.r.t grain size

Phonon lifetime and scattering rates

../../_images/fig_lifetime559.png

(a) Phonon lifetime due to phonon-phonon scattering

../../_images/fig_scat_rates558.png

(b) Phonon scattering rates

Cumulative and spectral thermal conductivity

../../_images/fig_cumu_frequency559.png

(a) Spectral and cumulative thermal conductivity w.r.t frequency

../../_images/fig_cumu_mfp559.png

(b) Spectral and cumulative thermal conductivity w.r.t MFP

Force constants

../../_images/fig_fc2802.png

(a) Force constants w.r.t atomic distance

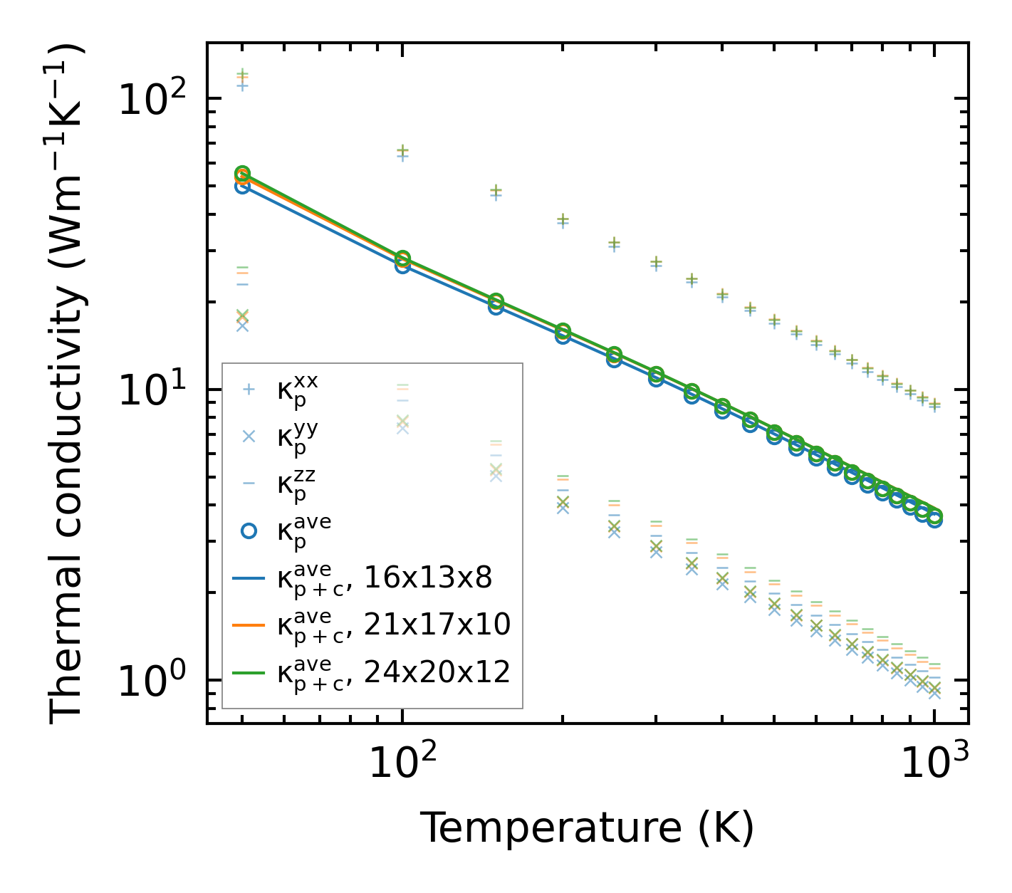
Summary

../../_images/fig_kappa1094.png

(a) Temperature-dependent lattice thermal conductivity

../../_images/fig_times1357.png

(b) Computation time