mp-996960-2/AgNO2/harm

Equation of state

../../_images/fig_bm327.png

(a) Equation of state

Harmonic properties

../../_images/fig_bandos_pr909.png

(a) Phonon dispersion with participation ratio and DOS

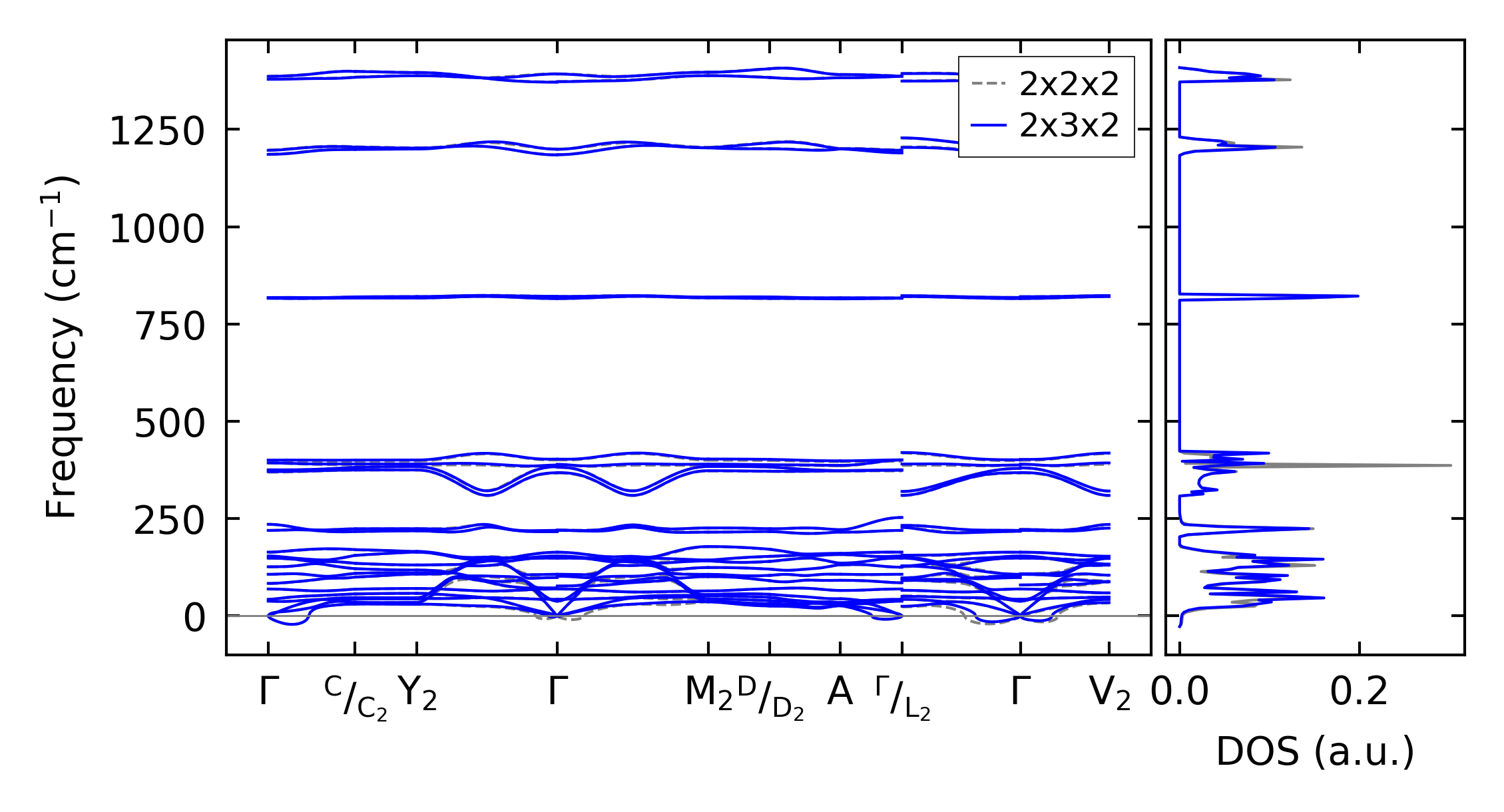
../../_images/fig_bandos836.png

(b) Phonon dispersion and DOS

../../_images/fig_thermo909.png

(c) Thermodynamic properties

Force constants

../../_images/fig_fc2800.png

(a) Force constants w.r.t atomic distance

Summary

../../_images/fig_times1353.png

(a) Computation time