mp-773438-2/Li5CuP2O8/harm

Equation of state

../../_images/fig_bm1147.png

(a) Equation of state

Harmonic properties

../../_images/fig_bandos_pr2361.png

(a) Phonon dispersion with participation ratio and DOS

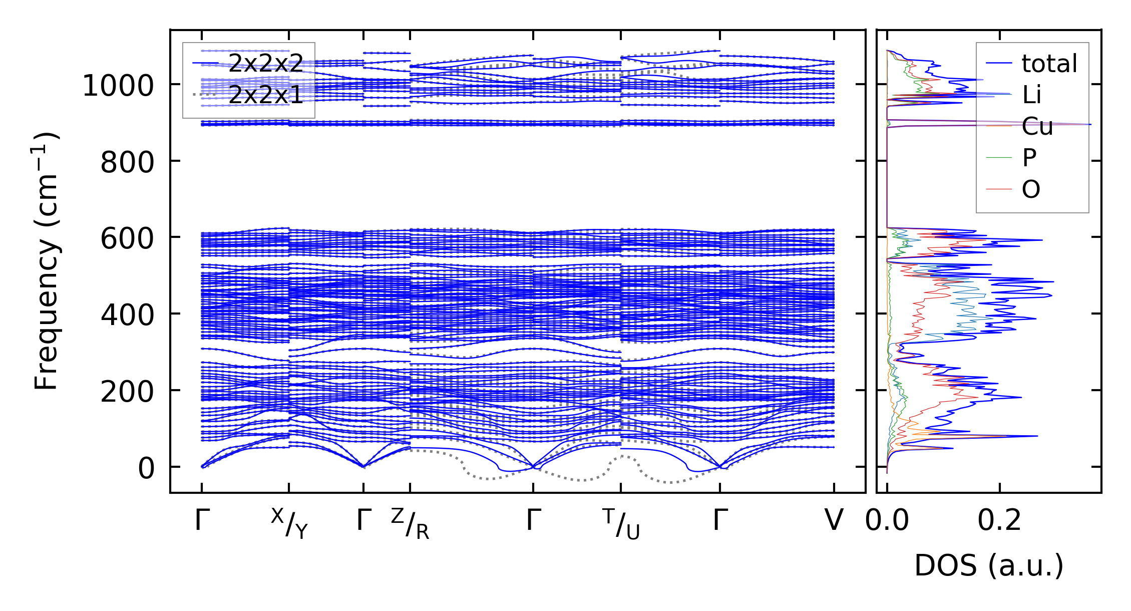
../../_images/fig_bandos2738.png

(b) Phonon dispersion and DOS

../../_images/fig_thermo2361.png

(c) Thermodynamic properties

Force constants

../../_images/fig_fc22182.png

(a) Force constants w.r.t atomic distance

Summary

../../_images/fig_times3873.png

(a) Computation time