mp-773047-2/KNb2PO8/harm

Equation of state

../../_images/fig_bm1132.png

(a) Equation of state

Harmonic properties

../../_images/fig_bandos_pr2339.png

(a) Phonon dispersion with participation ratio and DOS

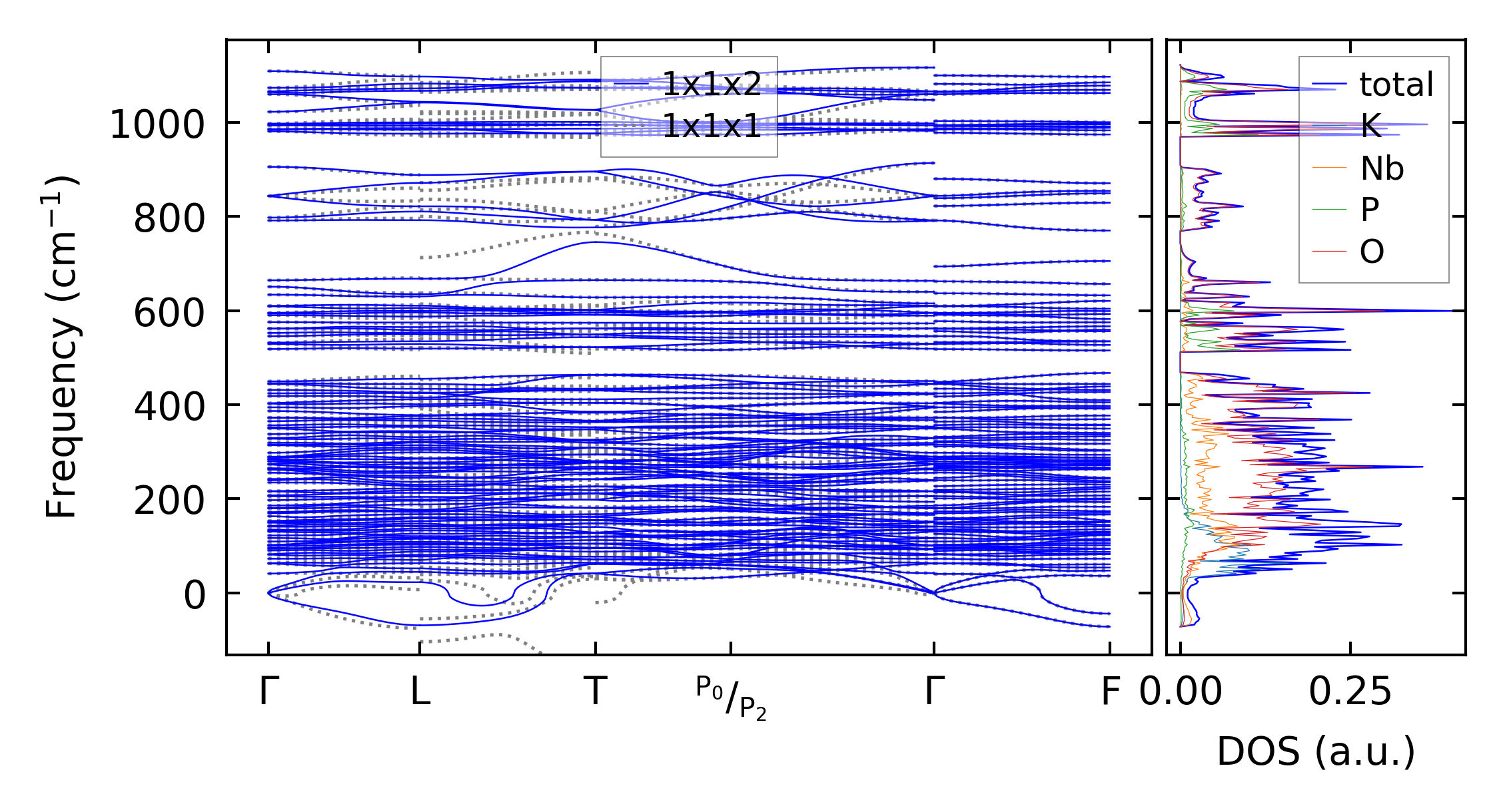
../../_images/fig_bandos2704.png

(b) Phonon dispersion and DOS

../../_images/fig_thermo2339.png

(c) Thermodynamic properties

Force constants

../../_images/fig_fc22160.png

(a) Force constants w.r.t atomic distance

Summary

../../_images/fig_times3838.png

(a) Computation time