mp-773146-2/Li2CuPO4/harm

Equation of state

../../_images/fig_bm1146.png

(a) Equation of state

Harmonic properties

../../_images/fig_bandos_pr2360.png

(a) Phonon dispersion with participation ratio and DOS

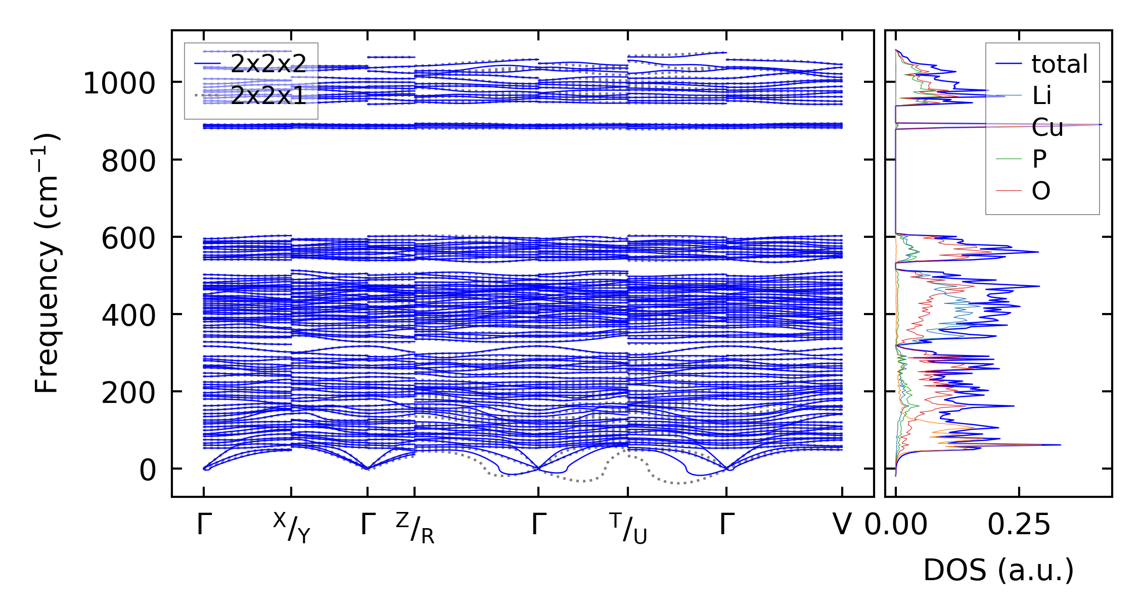
../../_images/fig_bandos2736.png

(b) Phonon dispersion and DOS

../../_images/fig_thermo2360.png

(c) Thermodynamic properties

Force constants

../../_images/fig_fc22181.png

(a) Force constants w.r.t atomic distance

Summary

../../_images/fig_times3871.png

(a) Computation time