mp-773135-2/Li3Cu3P2O8/harm

Equation of state

../../_images/fig_bm1142.png

(a) Equation of state

Harmonic properties

../../_images/fig_bandos_pr2355.png

(a) Phonon dispersion with participation ratio and DOS

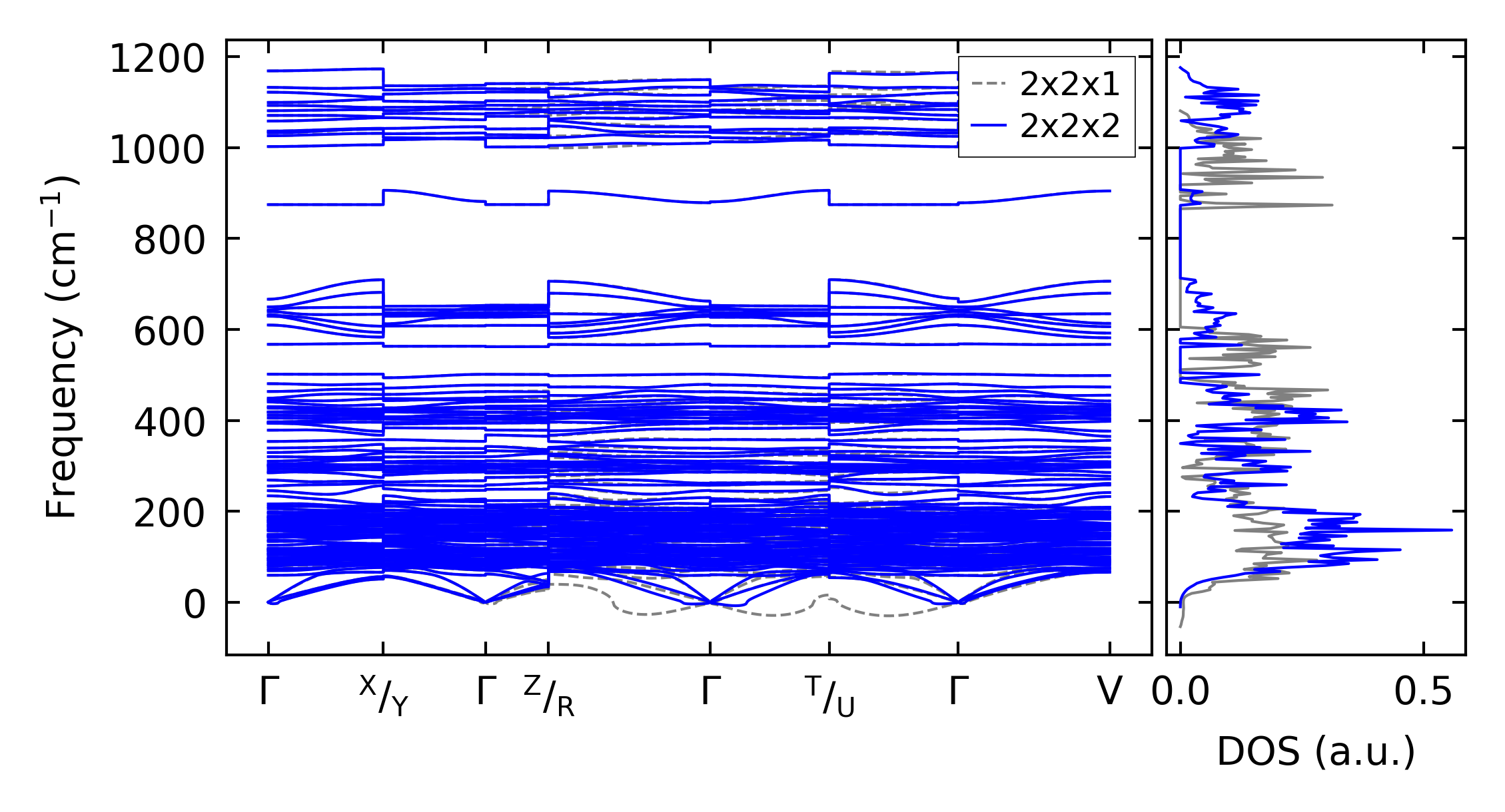
../../_images/fig_bandos2728.png

(b) Phonon dispersion and DOS

../../_images/fig_thermo2355.png

(c) Thermodynamic properties

Force constants

../../_images/fig_fc22176.png

(a) Force constants w.r.t atomic distance

Summary

../../_images/fig_times3862.png

(a) Computation time