mp-759876/Na5SbO5/anharm

Harmonic properties

../../_images/fig_bandos_pr3101.png

(a) Phonon dispersion with participation ratio and DOS

../../_images/fig_thermo3101.png

(b) Thermodynamic properties

Grüneisen parameters

../../_images/fig_gru_all1461.png

(a) Grüneisen parameters

../../_images/fig_gruneisen1461.png

(b) Phonon dispersion with Grüneisen parameters

Thermal conductivity

3-phonon (LASSO) — q-mesh: 14x14x12, supercell: 1x3x2

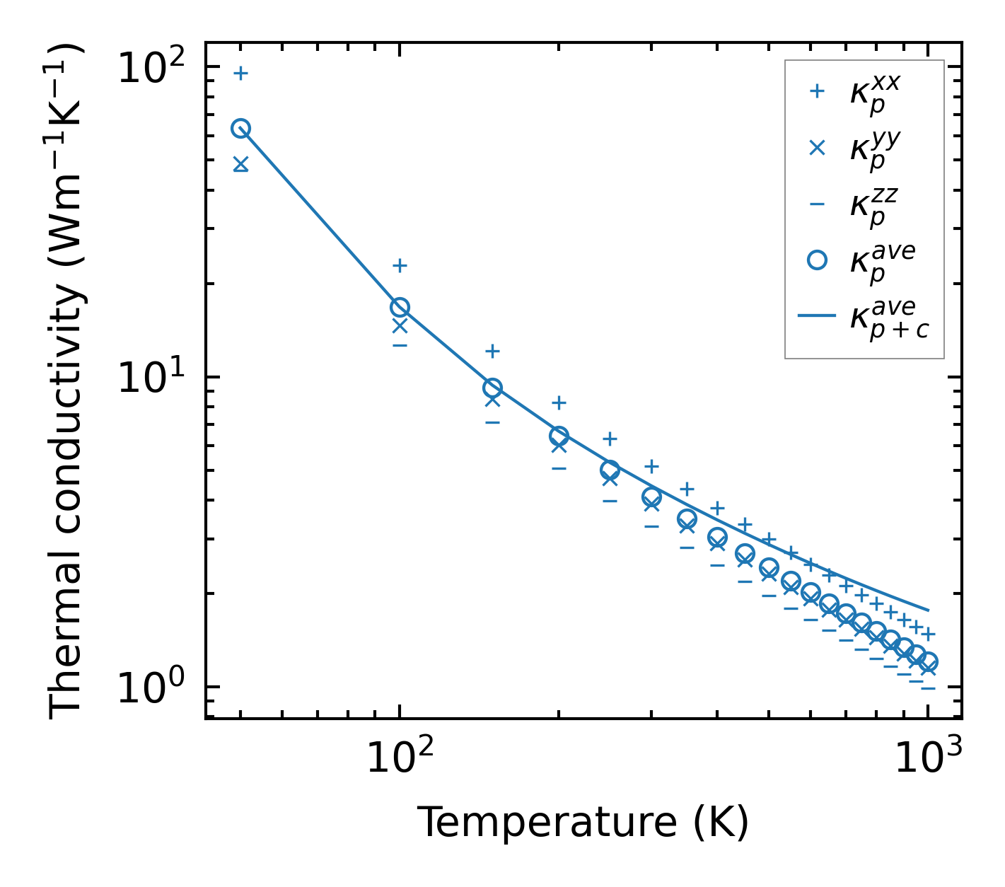
../../_images/fig_kappa2816.png

(a) Temperature-dependent lattice thermal conductivity

../../_images/fig_kappa_vs_grain_size1477.png

(b) Peierls lattice thermal conductivity w.r.t grain size

Phonon lifetime and scattering rates

../../_images/fig_lifetime1451.png

(a) Phonon lifetime due to phonon-phonon scattering

../../_images/fig_scat_rates1450.png

(b) Phonon scattering rates

Cumulative and spectral thermal conductivity

../../_images/fig_cumu_frequency1451.png

(a) Spectral and cumulative thermal conductivity w.r.t frequency

../../_images/fig_cumu_mfp1451.png

(b) Spectral and cumulative thermal conductivity w.r.t MFP

Force constants

../../_images/fig_fc22921.png

(a) Force constants w.r.t atomic distance

Summary

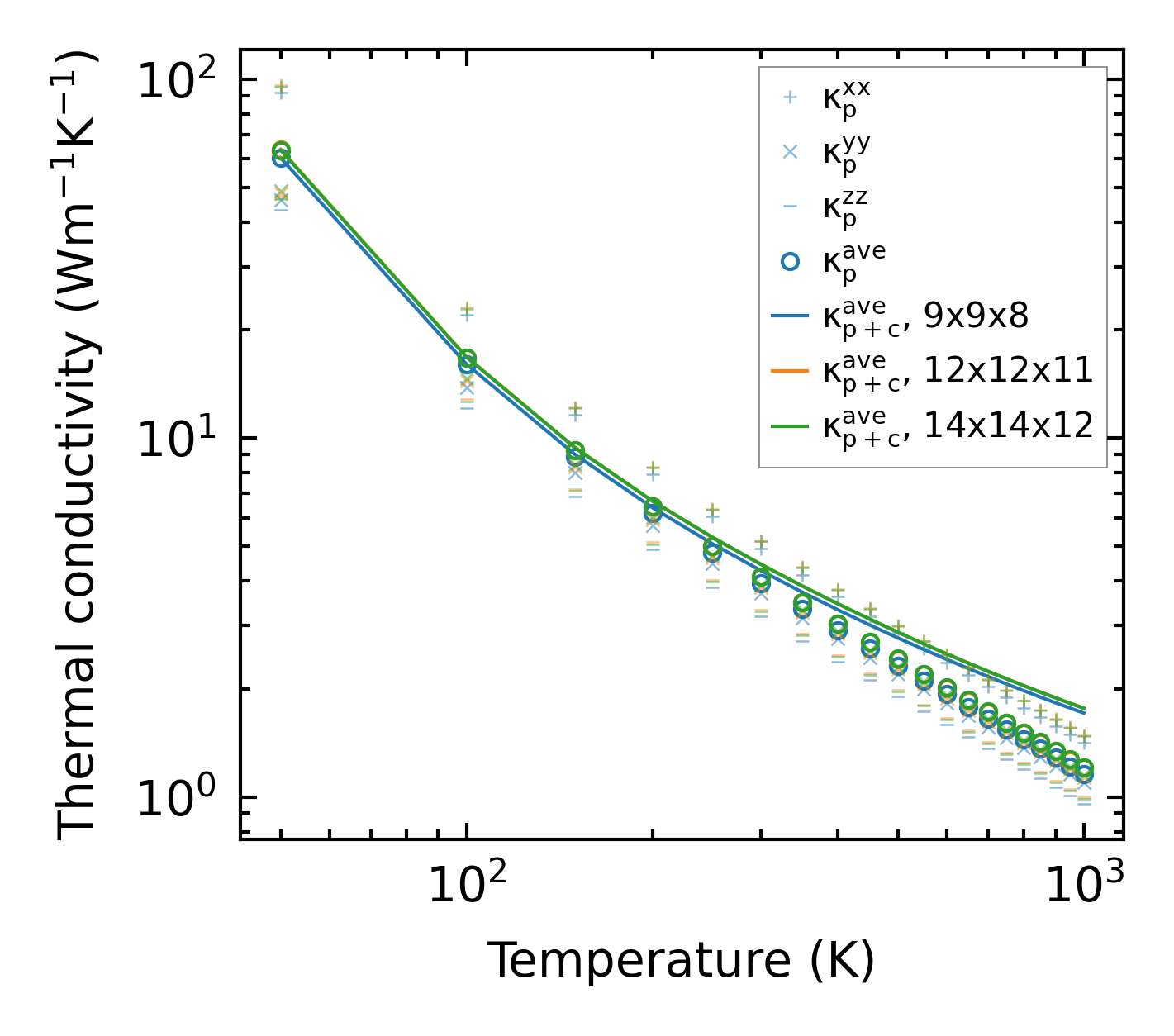
../../_images/fig_kappa2817.png

(a) Temperature-dependent lattice thermal conductivity

../../_images/fig_times5336.png

(b) Computation time