mp-759230-2/NaAl11O17/harm

Equation of state

../../_images/fig_bm1333.png

(a) Equation of state

Harmonic properties

../../_images/fig_bandos_pr3043.png

(a) Phonon dispersion with participation ratio and DOS

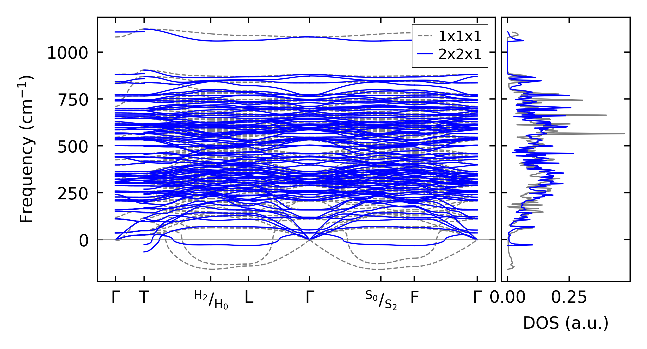
../../_images/fig_bandos3910.png

(b) Phonon dispersion and DOS

../../_images/fig_thermo3043.png

(c) Thermodynamic properties

Force constants

../../_images/fig_fc22863.png

(a) Force constants w.r.t atomic distance

Summary

../../_images/fig_times5212.png

(a) Computation time