mp-759734/Li3Bi2P3O12/harm

Harmonic properties

../../_images/fig_bandos_pr3084.png

(a) Phonon dispersion with participation ratio and DOS

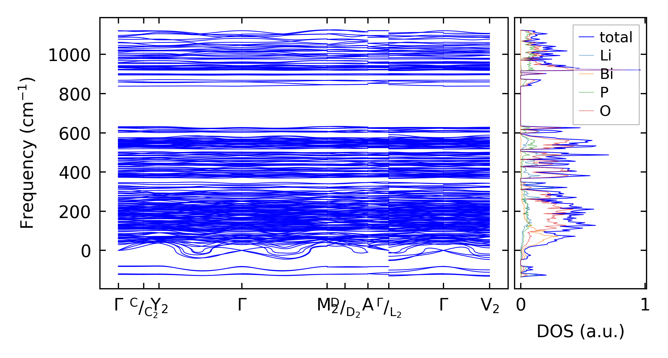
../../_images/fig_bandos3995.png

(b) Phonon dispersion and DOS

../../_images/fig_thermo3084.png

(c) Thermodynamic properties

Force constants

../../_images/fig_fc22904.png

(a) Force constants w.r.t atomic distance

Summary

../../_images/fig_times5302.png

(a) Computation time