mp-677627-2/Li3Nd3Te2O12/anharm

Equation of state

../../_images/fig_bm2516.png

(a) Equation of state

Harmonic properties

../../_images/fig_bandos_pr5121.png

(a) Phonon dispersion with participation ratio and DOS

../../_images/fig_thermo5121.png

(b) Thermodynamic properties

Grüneisen parameters

../../_images/fig_gru_all2146.png

(a) Grüneisen parameters

../../_images/fig_gruneisen2146.png

(b) Phonon dispersion with Grüneisen parameters

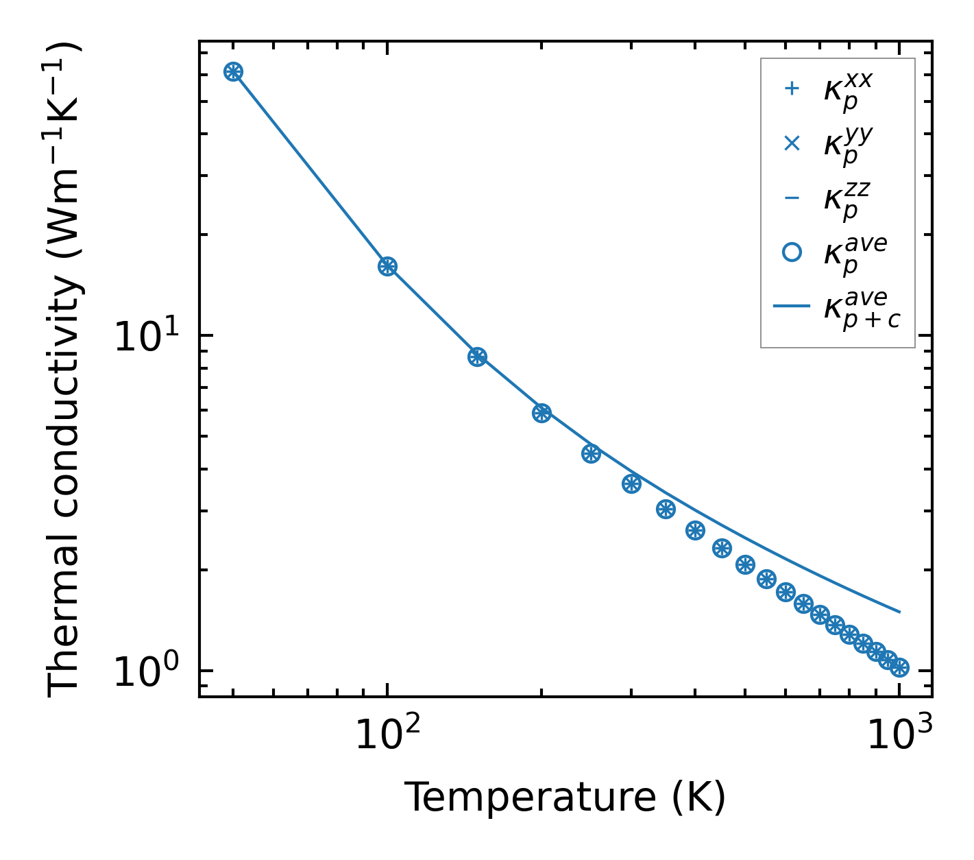
Thermal conductivity

3-phonon (LASSO) — q-mesh: 7x7x7, supercell: 1x1x1

../../_images/fig_kappa4113.png

(a) Temperature-dependent lattice thermal conductivity

../../_images/fig_kappa_vs_grain_size2178.png

(b) Peierls lattice thermal conductivity w.r.t grain size

Phonon lifetime and scattering rates

../../_images/fig_lifetime2133.png

(a) Phonon lifetime due to phonon-phonon scattering

../../_images/fig_scat_rates2132.png

(b) Phonon scattering rates

Cumulative and spectral thermal conductivity

../../_images/fig_cumu_frequency2133.png

(a) Spectral and cumulative thermal conductivity w.r.t frequency

../../_images/fig_cumu_mfp2133.png

(b) Spectral and cumulative thermal conductivity w.r.t MFP

Force constants

../../_images/fig_fc24926.png

(a) Force constants w.r.t atomic distance

Summary

../../_images/fig_kappa4114.png

(a) Temperature-dependent lattice thermal conductivity

../../_images/fig_times9179.png

(b) Computation time