mp-677241/LuCuSe2/anharm

Harmonic properties

../../_images/fig_bandos_pr5109.png

(a) Phonon dispersion with participation ratio and DOS

../../_images/fig_thermo5109.png

(b) Thermodynamic properties

Grüneisen parameters

../../_images/fig_gru_all2143.png

(a) Grüneisen parameters

../../_images/fig_gruneisen2143.png

(b) Phonon dispersion with Grüneisen parameters

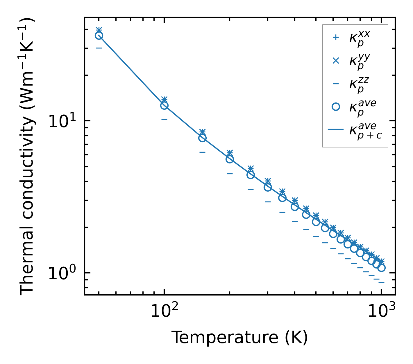
Thermal conductivity

3-phonon (LASSO) — q-mesh: 18x18x12, supercell: 4x4x2

../../_images/fig_kappa4107.png

(a) Temperature-dependent lattice thermal conductivity

../../_images/fig_kappa_vs_grain_size2175.png

(b) Peierls lattice thermal conductivity w.r.t grain size

Phonon lifetime and scattering rates

../../_images/fig_lifetime2130.png

(a) Phonon lifetime due to phonon-phonon scattering

../../_images/fig_scat_rates2129.png

(b) Phonon scattering rates

Cumulative and spectral thermal conductivity

../../_images/fig_cumu_frequency2130.png

(a) Spectral and cumulative thermal conductivity w.r.t frequency

../../_images/fig_cumu_mfp2130.png

(b) Spectral and cumulative thermal conductivity w.r.t MFP

Force constants

../../_images/fig_fc24914.png

(a) Force constants w.r.t atomic distance

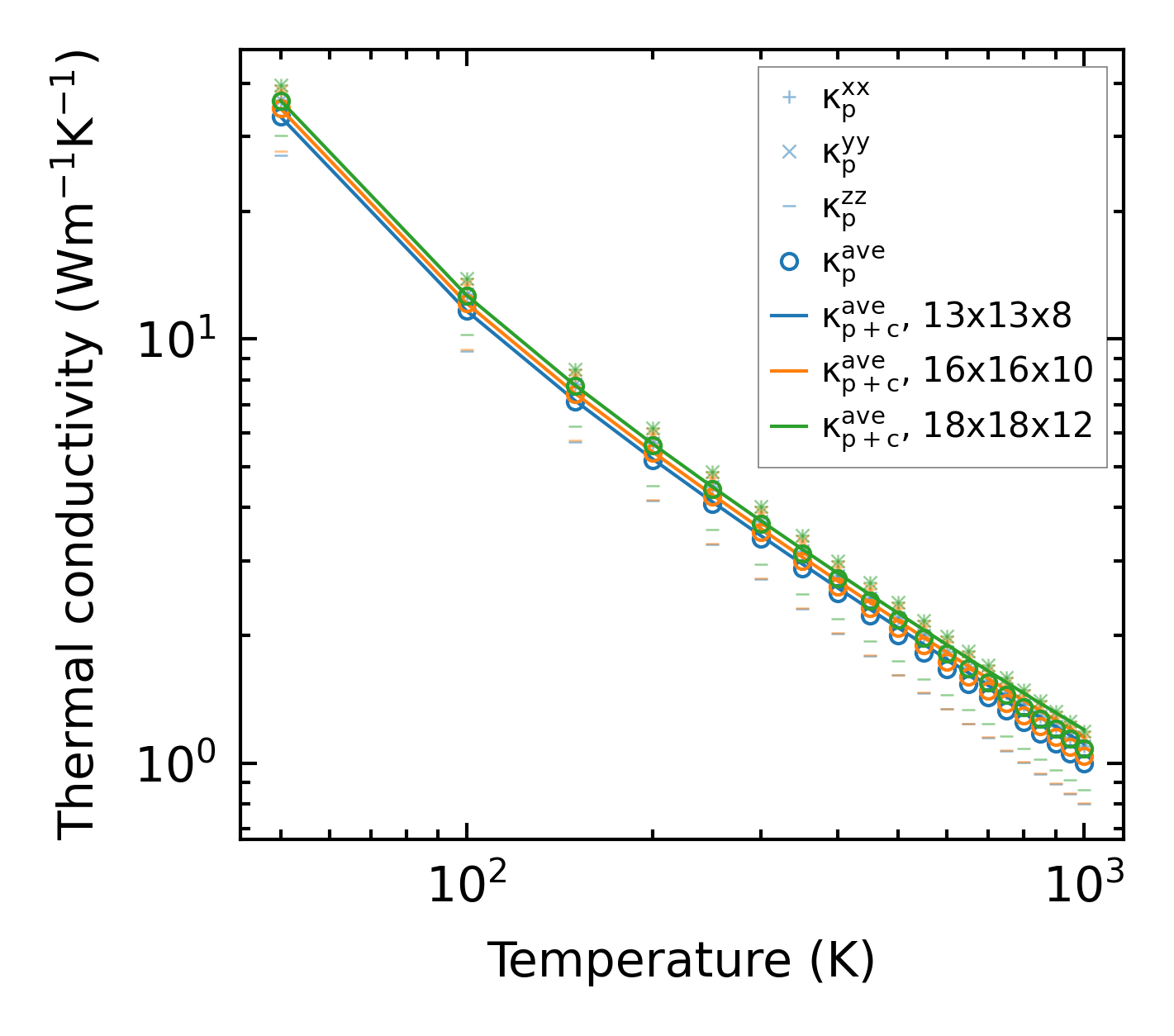
Summary

../../_images/fig_kappa4108.png

(a) Temperature-dependent lattice thermal conductivity

../../_images/fig_times9140.png

(b) Computation time