mp-677164/CuAs2Pb6Cl7O6/harm

Equation of state

../../_images/fig_bm2511.png

(a) Equation of state

Harmonic properties

../../_images/fig_bandos_pr5100.png

(a) Phonon dispersion with participation ratio and DOS

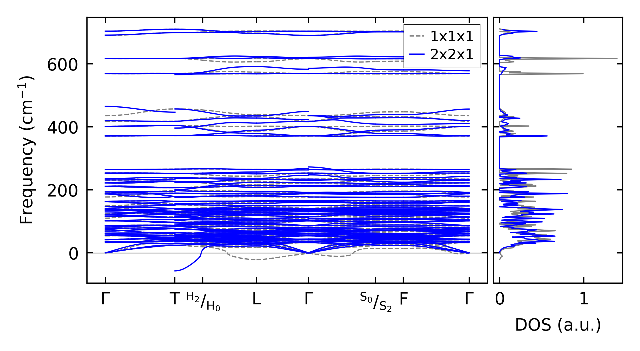
../../_images/fig_bandos7220.png

(b) Phonon dispersion and DOS

../../_images/fig_thermo5100.png

(c) Thermodynamic properties

Force constants

../../_images/fig_fc24905.png

(a) Force constants w.r.t atomic distance

Summary

../../_images/fig_times9124.png

(a) Computation time