mp-672352/AlI3Cl6/harm

Harmonic properties

../../_images/fig_bandos_pr5390.png

(a) Phonon dispersion with participation ratio and DOS

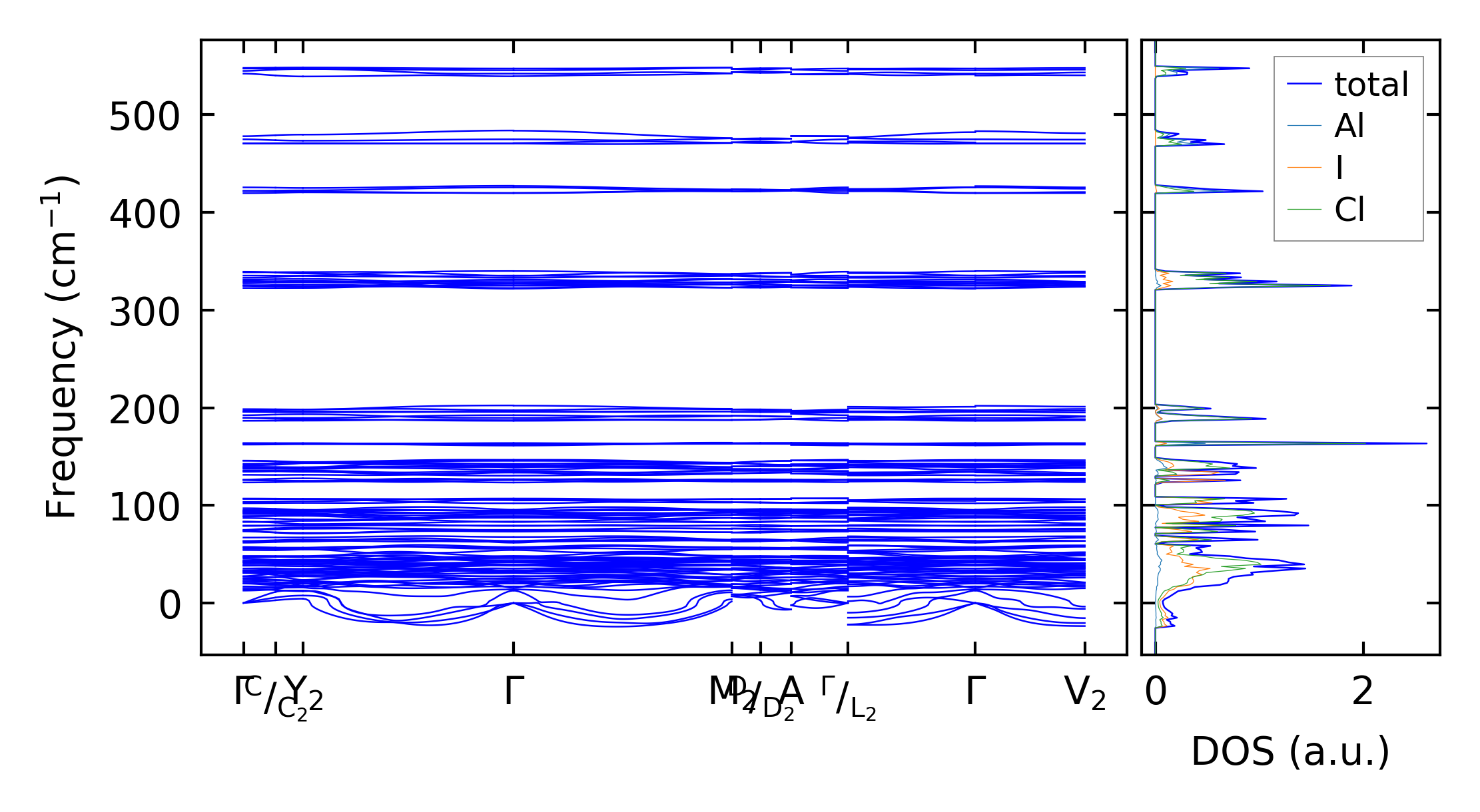
../../_images/fig_bandos7780.png

(b) Phonon dispersion and DOS

../../_images/fig_thermo5390.png

(c) Thermodynamic properties

Force constants

../../_images/fig_fc25195.png

(a) Force constants w.r.t atomic distance

Summary

../../_images/fig_times9771.png

(a) Computation time