mp-672339/Ag2Hg7P8I6/anharm

Harmonic properties

../../_images/fig_bandos_pr5389.png

(a) Phonon dispersion with participation ratio and DOS

../../_images/fig_thermo5389.png

(b) Thermodynamic properties

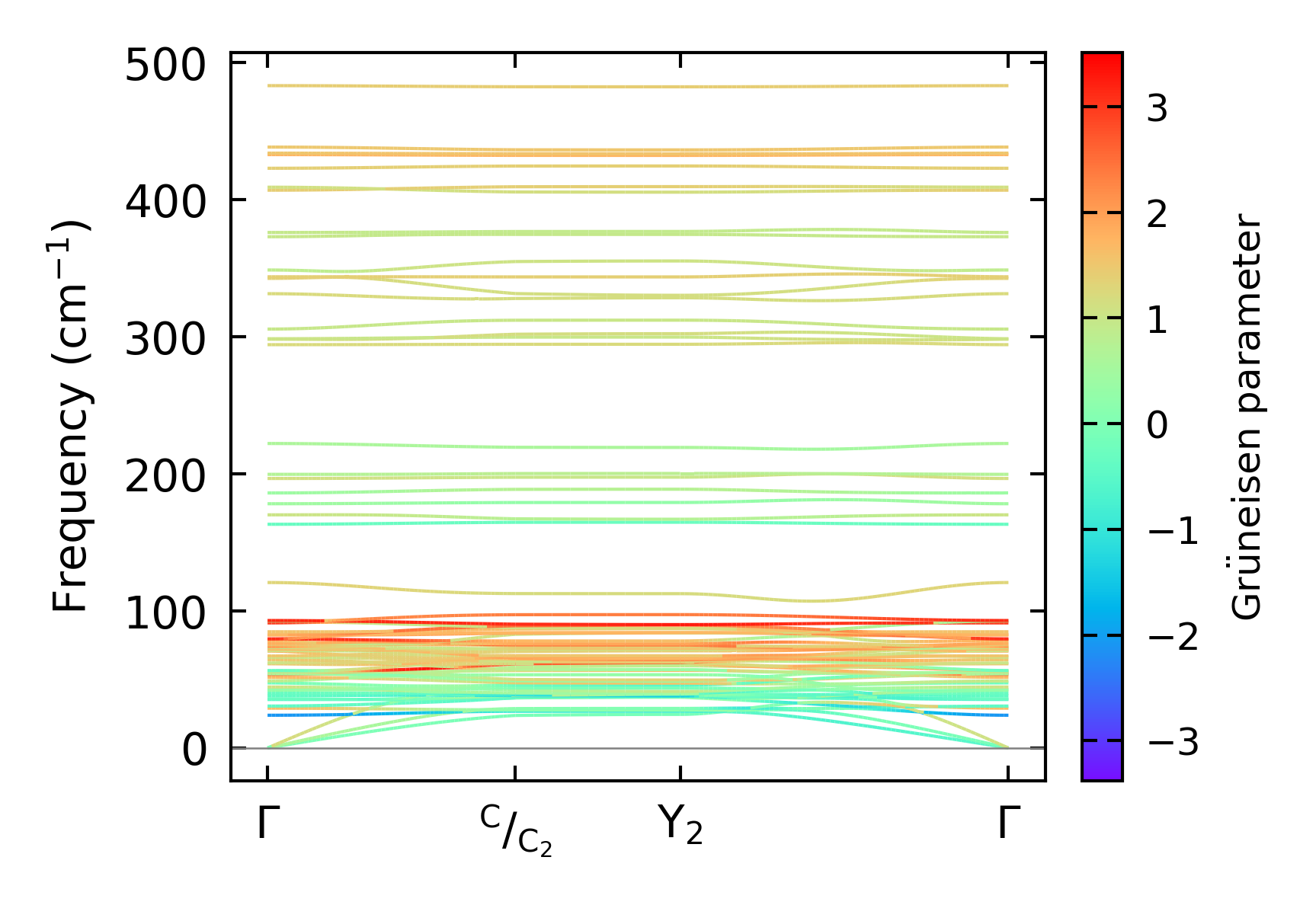
Grüneisen parameters

../../_images/fig_gru_all2240.png

(a) Grüneisen parameters

../../_images/fig_gruneisen2240.png

(b) Phonon dispersion with Grüneisen parameters

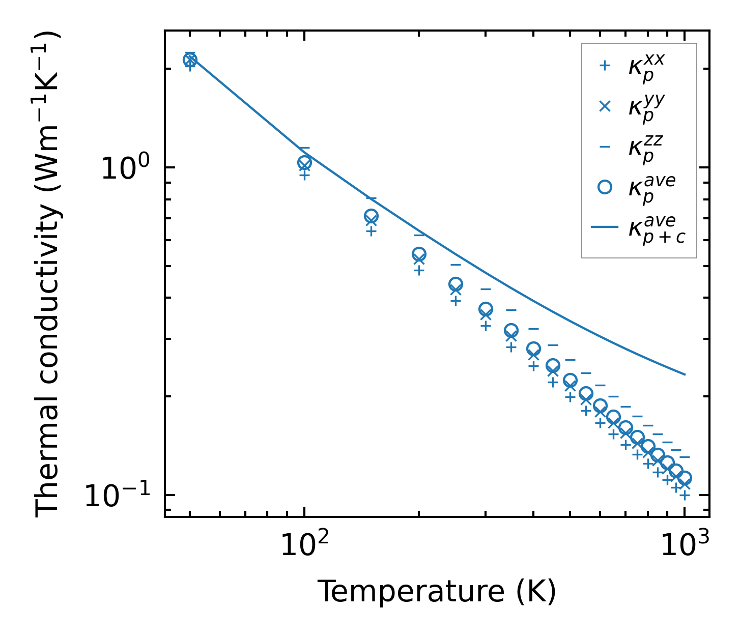
Thermal conductivity

3-phonon (LASSO) — q-mesh: 8x8x8, supercell: 1x1x2

../../_images/fig_kappa4285.png

(a) Temperature-dependent lattice thermal conductivity

../../_images/fig_kappa_vs_grain_size2271.png

(b) Peierls lattice thermal conductivity w.r.t grain size

Phonon lifetime and scattering rates

../../_images/fig_lifetime2226.png

(a) Phonon lifetime due to phonon-phonon scattering

../../_images/fig_scat_rates2225.png

(b) Phonon scattering rates

Cumulative and spectral thermal conductivity

../../_images/fig_cumu_frequency2226.png

(a) Spectral and cumulative thermal conductivity w.r.t frequency

../../_images/fig_cumu_mfp2226.png

(b) Spectral and cumulative thermal conductivity w.r.t MFP

Force constants

../../_images/fig_fc25194.png

(a) Force constants w.r.t atomic distance

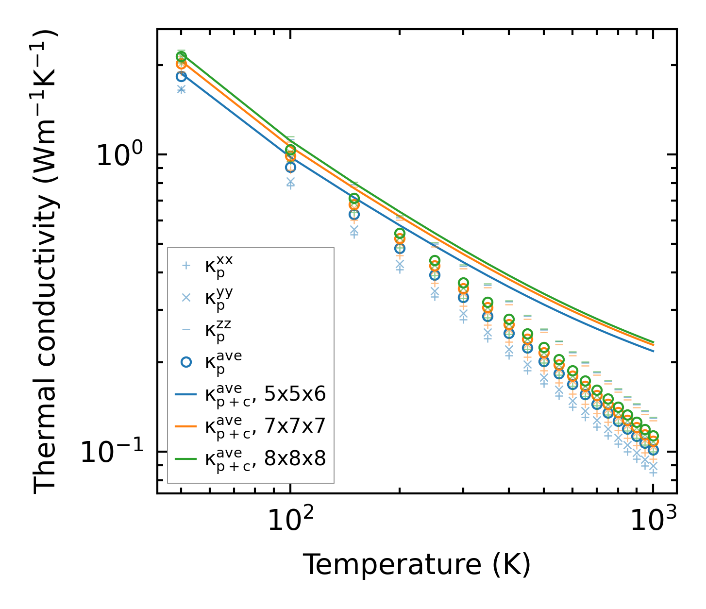
Summary

../../_images/fig_kappa4286.png

(a) Temperature-dependent lattice thermal conductivity

../../_images/fig_times9766.png

(b) Computation time