mp-672326/In3Ru/anharm

Harmonic properties

../../_images/fig_bandos_pr5388.png

(a) Phonon dispersion with participation ratio and DOS

../../_images/fig_thermo5388.png

(b) Thermodynamic properties

Grüneisen parameters

../../_images/fig_gru_all2239.png

(a) Grüneisen parameters

../../_images/fig_gruneisen2239.png

(b) Phonon dispersion with Grüneisen parameters

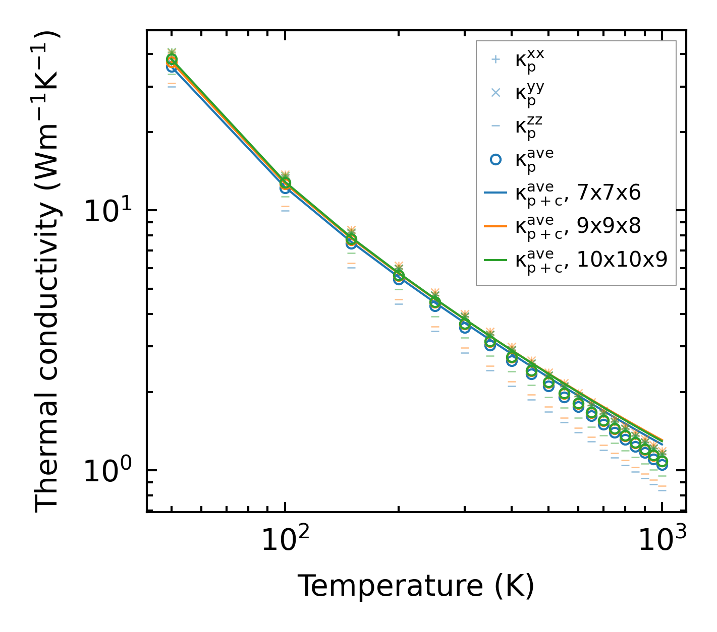
Thermal conductivity

3-phonon (LASSO) — q-mesh: 10x10x9, supercell: 2x2x2

../../_images/fig_kappa4283.png

(a) Temperature-dependent lattice thermal conductivity

../../_images/fig_kappa_vs_grain_size2270.png

(b) Peierls lattice thermal conductivity w.r.t grain size

Phonon lifetime and scattering rates

../../_images/fig_lifetime2225.png

(a) Phonon lifetime due to phonon-phonon scattering

../../_images/fig_scat_rates2224.png

(b) Phonon scattering rates

Cumulative and spectral thermal conductivity

../../_images/fig_cumu_frequency2225.png

(a) Spectral and cumulative thermal conductivity w.r.t frequency

../../_images/fig_cumu_mfp2225.png

(b) Spectral and cumulative thermal conductivity w.r.t MFP

Force constants

../../_images/fig_fc25193.png

(a) Force constants w.r.t atomic distance

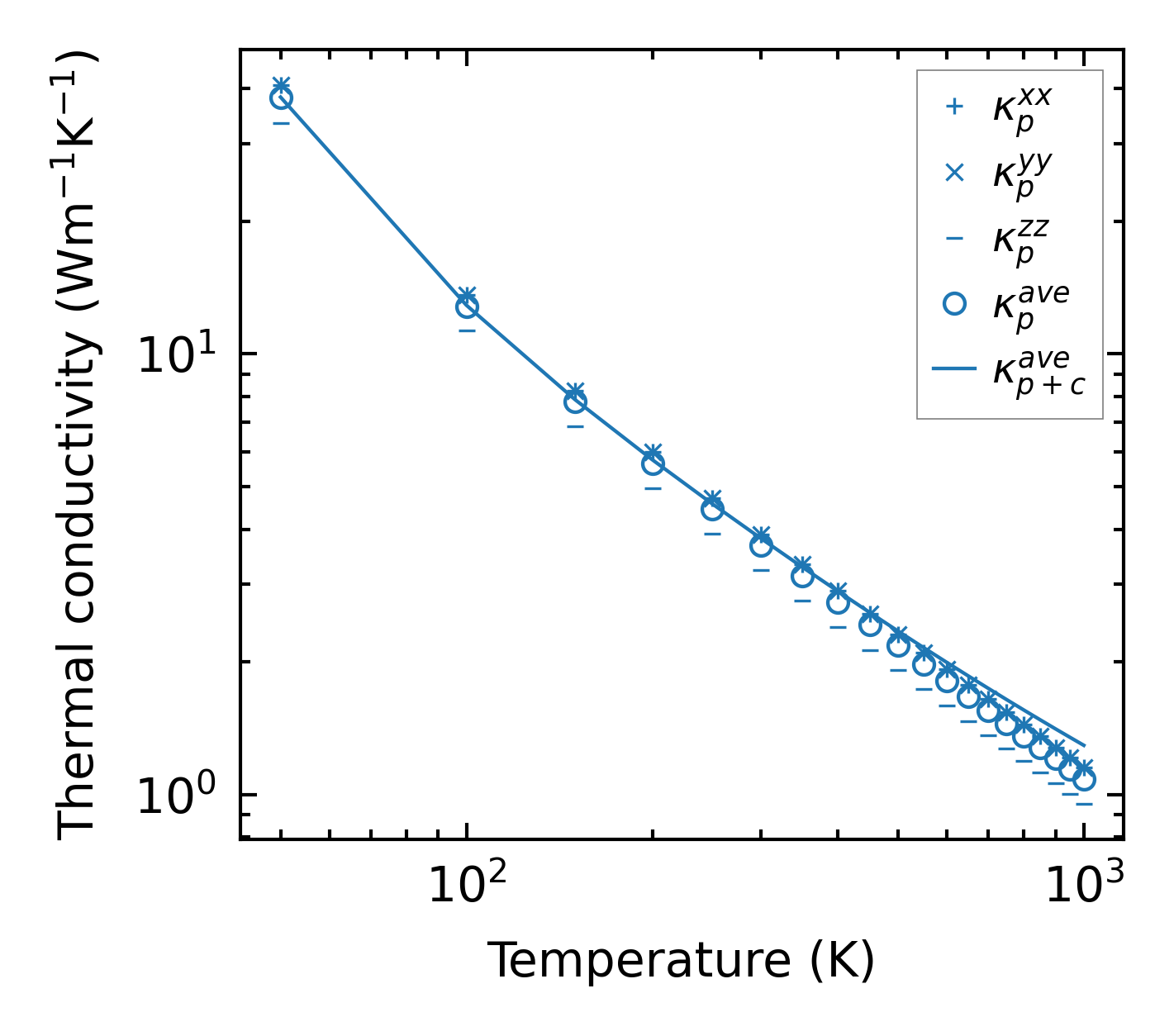
Summary

../../_images/fig_kappa4284.png

(a) Temperature-dependent lattice thermal conductivity

../../_images/fig_times9763.png

(b) Computation time