mp-672186-2/TeS7Cl2/anharm

Equation of state

../../_images/fig_bm2623.png

(a) Equation of state

Harmonic properties

../../_images/fig_bandos_pr5383.png

(a) Phonon dispersion with participation ratio and DOS

../../_images/fig_bandos7755.png

(b) Phonon dispersion and DOS

../../_images/fig_thermo5383.png

(c) Thermodynamic properties

Grüneisen parameters

../../_images/fig_gru_all2238.png

(a) Grüneisen parameters

../../_images/fig_gruneisen2238.png

(b) Phonon dispersion with Grüneisen parameters

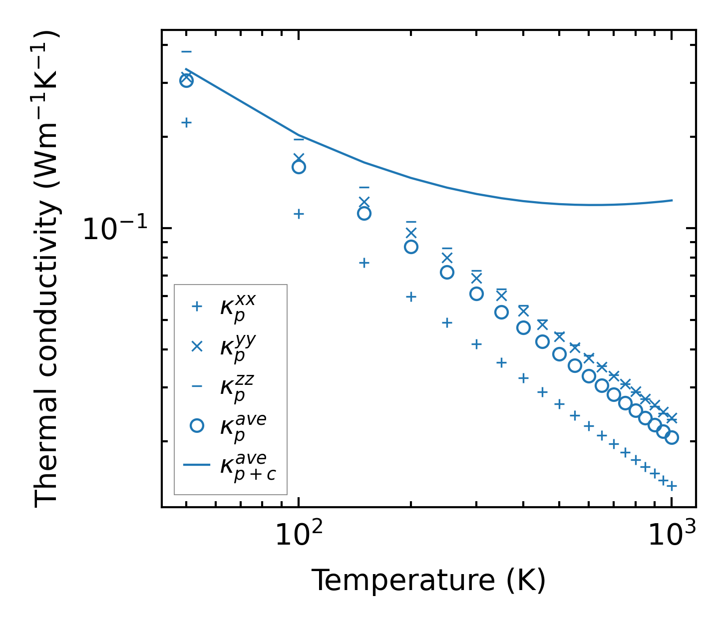
Thermal conductivity

3-phonon (LASSO), supercell 2x2x1 — q-mesh: 7x8x5, supercell: 2x2x1

../../_images/fig_kappa4282.png

(a) Temperature-dependent lattice thermal conductivity

../../_images/fig_kappa_vs_grain_size2269.png

(b) Peierls lattice thermal conductivity w.r.t grain size

Phonon lifetime and scattering rates

../../_images/fig_lifetime2224.png

(a) Phonon lifetime due to phonon-phonon scattering

../../_images/fig_scat_rates2223.png

(b) Phonon scattering rates

Cumulative and spectral thermal conductivity

../../_images/fig_cumu_frequency2224.png

(a) Spectral and cumulative thermal conductivity w.r.t frequency

../../_images/fig_cumu_mfp2224.png

(b) Spectral and cumulative thermal conductivity w.r.t MFP

Force constants

../../_images/fig_fc25188.png

(a) Force constants w.r.t atomic distance

Summary

../../_images/fig_times9744.png

(a) Computation time