mp-574620/CsYZnSe3/anharm

Harmonic properties

../../_images/fig_bandos_pr6739.png

(a) Phonon dispersion with participation ratio and DOS

../../_images/fig_thermo6739.png

(b) Thermodynamic properties

Grüneisen parameters

../../_images/fig_gru_all2762.png

(a) Grüneisen parameters

../../_images/fig_gruneisen2762.png

(b) Phonon dispersion with Grüneisen parameters

Thermal conductivity

3-phonon (LASSO) — q-mesh: 11x11x8, supercell: 3x1x2

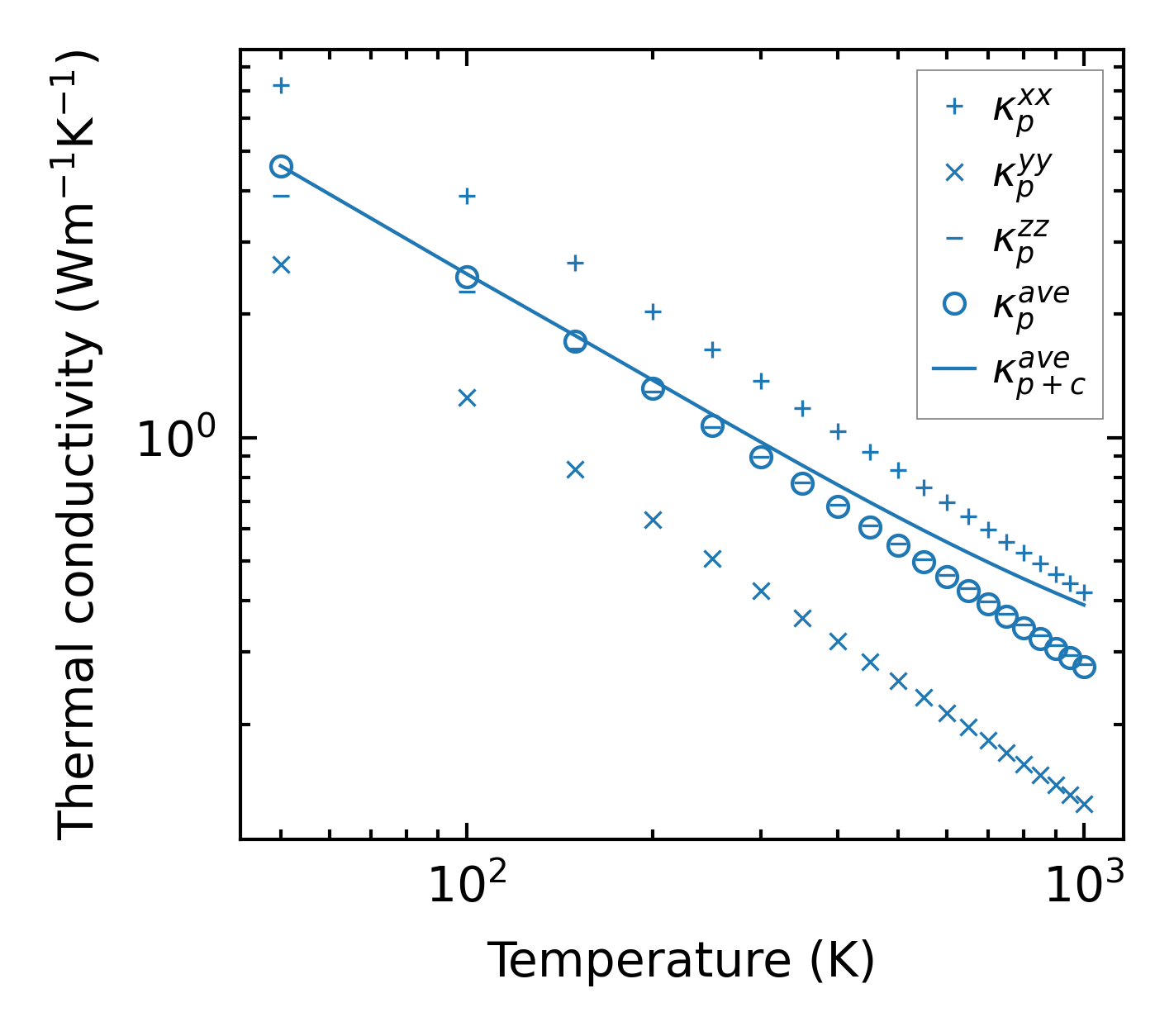
../../_images/fig_kappa5249.png

(a) Temperature-dependent lattice thermal conductivity

../../_images/fig_kappa_vs_grain_size2803.png

(b) Peierls lattice thermal conductivity w.r.t grain size

Phonon lifetime and scattering rates

../../_images/fig_lifetime2738.png

(a) Phonon lifetime due to phonon-phonon scattering

../../_images/fig_scat_rates2737.png

(b) Phonon scattering rates

Cumulative and spectral thermal conductivity

../../_images/fig_cumu_frequency2738.png

(a) Spectral and cumulative thermal conductivity w.r.t frequency

../../_images/fig_cumu_mfp2737.png

(b) Spectral and cumulative thermal conductivity w.r.t MFP

Force constants

../../_images/fig_fc26528.png

(a) Force constants w.r.t atomic distance

Summary

../../_images/fig_kappa5250.png

(a) Temperature-dependent lattice thermal conductivity

../../_images/fig_times12102.png

(b) Computation time