mp-574138-2/Cs2Te3As/anharm

Equation of state

../../_images/fig_bm3602.png

(a) Equation of state

Harmonic properties

../../_images/fig_bandos_pr6731.png

(a) Phonon dispersion with participation ratio and DOS

../../_images/fig_thermo6731.png

(b) Thermodynamic properties

Grüneisen parameters

../../_images/fig_gru_all2759.png

(a) Grüneisen parameters

../../_images/fig_gruneisen2759.png

(b) Phonon dispersion with Grüneisen parameters

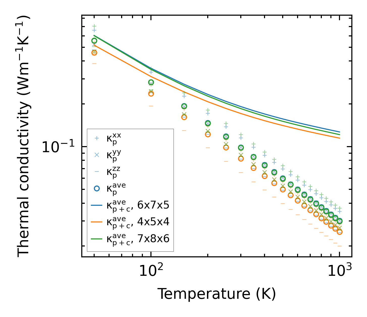
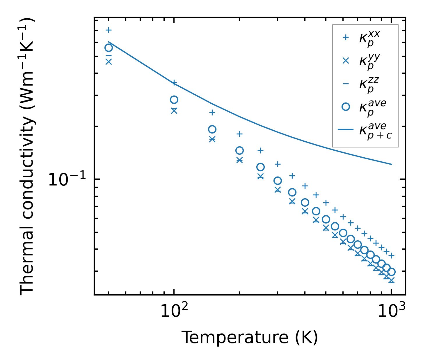
Thermal conductivity

3-phonon (LASSO) — q-mesh: 7x8x6, supercell: 2x2x1

../../_images/fig_kappa5244.png

(a) Temperature-dependent lattice thermal conductivity

../../_images/fig_kappa_vs_grain_size2800.png

(b) Peierls lattice thermal conductivity w.r.t grain size

Phonon lifetime and scattering rates

../../_images/fig_lifetime2735.png

(a) Phonon lifetime due to phonon-phonon scattering

../../_images/fig_scat_rates2734.png

(b) Phonon scattering rates

Cumulative and spectral thermal conductivity

../../_images/fig_cumu_frequency2735.png

(a) Spectral and cumulative thermal conductivity w.r.t frequency

../../_images/fig_cumu_mfp2734.png

(b) Spectral and cumulative thermal conductivity w.r.t MFP

Force constants

../../_images/fig_fc26520.png

(a) Force constants w.r.t atomic distance

Summary

../../_images/fig_kappa5245.png

(a) Temperature-dependent lattice thermal conductivity

../../_images/fig_times12088.png

(b) Computation time